氟原子因其特有的理化性质被认为是氢原子、羰基、磺酰基和氰基的潜在生物电子等排体,常被药化界认为是万能钥匙。回顾药物发展历史,自1955年第一个氟取代药物——氟氢可的松获批上市以来,FDA批准上市的含药物如雨后春笋般层出不穷。下面我们就来聊聊氟原子是如何获得药物化学家们青睐的。

图1. 至2019年底FDA批准含氟取代药物数量,来源于参考文献[1]
一、2020年1月-5月FDA批准含氟药物
2020年的开头可谓是跌宕起伏,但这也阻止不了FDA的审评速度。自2020年1月以来FDA共批准了22个药物,生物药4个,小分子化合物18个。其中9个化合物带有F原子,占比较高,占获批药物的41%(表1)。
从9个药物的结构分析,除Fluoroestrdiol F18外,大部分比例F取代在苯环位置且已单F取代为主,如Avaprotinib、Osilodrostat等。从适应症角度,5个为肿瘤类药物,1个为疼痛类药物,1个为内分泌相关治疗药物,其中2个药物(FluoroestrdiolF18和Flortaucipir F18)具有特殊性,为带18F同位素的放射诊断试剂。主要是因为18F具有正电子发射性能和较短半衰期(109.8min)的性质,这使得其在PET成像中成了香饽饽。
综上可见,F原子在结构设计上被广泛使用且倾向于芳香环取代,在适应症上具有一定的可及性和安全性。尽管时过境迁,药化学家们对F原子依然是热情高涨。

表1. 2020年1月-5月FDA批准含氟药物信息,数据来源:FDA官网
二、氟原子在药物结构中的作用
2.1 封闭代谢位点,提高代谢稳定性
F是化合物代谢改造方面常用的封闭基团,这要归功于它的键能和反应活性均低于H原子,且与其他封闭基团相比,它的分子量较小,对分子大小影响较小。在药物设计中,通常在小分子化合物中引入F,达到阻断易氧化代谢的位点的目的,进而提高化合物的代谢稳定性,延长药物在体内的作用时间[3]。常见于芳香环上引入F、甲基上的氢替换成多个F,阻止其在体内发生代谢。

图2. F取代封闭代谢位点
降脂药物依折麦布就是通过封闭代谢位点优化得到的:对先导化合物1进行环酰胺取代基优化得到化合物SCH-48461。为了减少非活性代谢产物的产生提高药物活性,根据SCH-48461代谢产物分析,设计合成了系列代谢相关化合物[4],最终分别在发生苯环发生羟基化位子和去甲基化位置引入引入F,即依折麦布,达到了提高代谢稳定性的目的。

图3. 依折麦布研发历程
需特别注意F原子不是你想引就引的,需考虑它的引入是否会导致弊大于利的结果。研究表明,F在某些分子上会产生毒性代谢产物氟乙酸,该代谢产物在大鼠、犬和人中的致死剂量分别为0.1-5mg/kg、0.05mg/kg和2-10mg/kg。已有研究者总结了可能产生氟乙酸的化合物结构(见图4),若化合物代谢过程中产生如下结构需特别注意并尽量避免。
常用化疗药物5-氟尿嘧啶在体内代谢会生成氟乙醛和氟丙二酸,进而生成氟乙酸,而作为5-氟尿嘧啶的前体药物卡培他滨在体内也会产生氟乙酸,这可能是临床给药过程中出现心*毒脏**性和神经毒性的原因。

图4. 已知氟乙酸代谢前体和5-氟尿嘧啶代谢途径,来源于参考文献[1]
2.2 提高亲脂性,提高生物利用度
由于F原子的亲脂性(π=0.14)优于H原子这一优势[3],引入F取代有助于提高化合物的亲脂性,促进膜渗透,提高生物利用度。
以降糖药物西他列汀为例[4]:在西他列汀药物设计过程中,早期获得了活性较好但生物利用度较低的化合物2。通过体外渗透和大鼠肝门静脉插管研究表明是由于化合物渗透性低引起,因此将化合物2中三氮唑位置上的乙基替换为三氟甲基,提高了化合物的亲脂性,使得生物利用度提高了20倍左右,进一步增加苯环F取代数目,最终得到生物利用度高达76%的DPP-IV*制剂抑**西他列汀[5]。

图5. 西他列汀研发历程
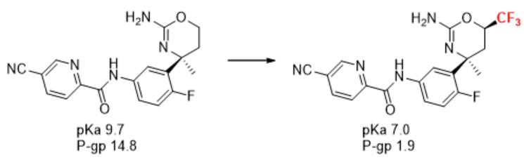
2.3 调节pKa,减少外排率
pKa随着F取代个数的增加而减小,降低分子碱性减少外排率,需注意距离F四五个键以内的中心基团均会受到影响。一项阿尔兹海默疾病相关的BACE1*制剂抑**开发研究中显示[6],引入CF3基团取代降低了分子的pKa 值并减少P-gp 外排率,从而减少分子过血脑屏障时的损失,增强脑渗透。

图6. BACE1*制剂抑**
综上可见,F原子在代谢、渗透吸收方面均发挥着重要作用。除此以外,作为“宝藏男孩”,F原子还有很多其他的功能。如减少活性代谢物的产生,避免对代谢酶的抑制;作为氢键受体与体内氨基酸形成氢键,提高分子有效性等。但也要评估和分析引入F原子的利弊,以免适得其反。
参考文献
[1] Benjamin M. Johnson et al. Metabolic and Pharmaceutical Aspects of Fluorinated Compounds. J. Med. Chem. 2019.
[2] FDA官网
[3] Nicholas A. Meanwell . Fluorine and Fluorinated Motifs in the Design and Application
of Bioisosteres for Drug Design. J. Med. Chem. 2018, 61, 14, 5822−5880.
[4] Steve Swallow. Fluorine in Medicinal Chemistry. Progress in Medicinal Chemistry. 2015, 54, 65-133.
[5] Dooseop Kimet al. (2R)-4-Oxo-4-[3-(Trifluoromethyl)-5,6-dihydro[1,2,4]triazolo[4,3-a]pyrazin-7(8H)-yl]-1-(2,4,5-trifluorophenyl)butan-2-amine: A Potent, Orally Active Dipeptidyl Peptidase IV Inhibitor for the Treatment of Type 2 Diabetes. J. Med. Chem. 2005, 48, 141-151.
[6] Hans Hilpert et al. β-Secretase(BACE1) Inhibitors with High In Vivo Efficacy Suitable for Clinical Evaluation in Alzheimer’s Disease. J. Med. Chem. 2013,56, 10, 3980-3995.