摘 要:
为有效解决自然水体中重金属污染的问题,以来源广泛、成本低廉、可再生的废弃生物质材 料( 花生壳、玉米芯、白果壳、树皮等) 为基体,通过表面预处理、高温炭化以及后功能化改性( 包括 硫酸、硝酸、柠檬酸、高锰酸钾活化) 等工艺制备了一系列高效多孔生物吸附剂材料。结果表明,经过高锰酸钾氧化改性的生物吸附剂( 花生壳、玉米芯、白果壳、树皮) 对重金属铜的吸附率最高,分别达到 79. 4%、65. 3%、83. 9%、71. 8%,与原始生物材料吸附效果相比,吸附容量显著提高了 66. 2%、53. 7%、70. 7%、53. 1%。同时,优化了高锰酸钾改性吸附剂对铜的吸附条件( 时间、温度、 pH) 。经过结构特性表征分析,改性后的吸附剂相较于改性之前生物材料比表面积更大、孔隙结构更多,较大幅度提升了对于重金属离子的吸附能力。该研究所开发的高效生物质吸附剂为环境中重金属 离子的消除以及资源化利用提供了一种廉价高效的新方法、新思路,同时也提供了一种绿色高效处理 农林业废弃物的途径。
关键词:
生物质材料; 多孔吸附剂; 后功能化改性; 重金属; 吸附
基金项目:
浙江省水利厅科技项目 ( RC1725) ; 浙江省教育厅项目( Y201840641) ;
浙江省新苗人才计划( 2018R445001)
作者简介:
程 静( 1986—) ,女,副教授,硕士,研究方向为水处理及资源化利用。E-mail: feijing1987@ 126. com
引用:
程静,王春颖,冯鼎锐,等 . 新型功能化改性生物质吸附剂的制备及其对重金属铜的吸附性能研究[J]. 水利水电技术( 中英 文) ,2021,52( 2) : 146-154.
Study on the preparation and adsorption properties of new functional modified biosorption for heavy metal copper[J]. Water Resources and Hydropower Engineering,2021,52( 2) : 146-154.
0 引言
近年来,水资源的循环利用及其可持续发展是环境保护领域的一个重大议题。其中,重金属离子对于河流水体的严重污染不仅使水体质量恶化,同时也严 重危害到了水产品和农作物的健康生产,进而影响到人们的饮食安全。我国人口众多,农作物种植广泛,在大量供应人民必需的粮食的同时,也会有大量的农林业废弃物产生。我国的农业废弃物主要分为四个部分,分别为养殖业废弃物、种植业废弃物、农村生活垃圾以及农业加工业废弃物。这些废弃物如果不能妥善处理,不但会造成能源浪费,更会污染环境, 造成额外的经济损失。随着现代工业水平的迅速发展,金属采矿,钢铁及有色金属冶炼,金属加工及电镀等产业每年都会向环境中排放大量的含有重金属离子的废水,使得各类水体的污染愈加严重。重金属离子所具有的持久性、高毒性和危害性,使其成为废水中最具生物危害性和毒性的成分之一,对人类的生命安全构成了潜在的威胁。虽然有些重金属是生命体生长的微量元素,比如铜是人体新陈代谢中必不可少的微量元素之一,工业释放的铜离子允许限量为 0. 25 mg /L, 饮用水中最大可接受浓度为 1. 3 mg /L。过量的铜离子可能会导致严重的胃肠道刺激,肌肉疼痛和肝肾功能衰竭,呕吐,恶心,呼吸困难和腹泻。面对这样的问题,我们急需寻找一种消除污染环境中重金属的方法并加以利用。
众所周知,离子交换法、氧化还原法、反渗透、 吸附、络合/螯合、沉淀中和法等都可以去除废水中的重金属离子。但与化学、生物、生物化学、物理化学等技术不同的是,吸附法所需原料来源广泛, 同时吸附量大、选择性高、再生处理方便,是有效去除生活废水和工业废水中重金属离子的方法,逐渐在重金属离子去除/回收应用领域得到关注 。 近年来,人们尝试了各种生物质吸附剂,例如向日葵秸秆、桉树皮、玉米糠、椰子壳、废茶、稻草、 树叶、花生和胡桃壳等农林业废弃物,以实现各种重金属的有效去除。
研究者将稻秆、麦秸、玉米稻、花生壳等四种生物质材料进行改性制备不同种类生物质吸附剂,并深入探讨了所开发吸附剂对于重金属铜的吸附性能,结果表明,改性后的花生壳以的吸附性能最为突出,吸附容量高达 46. 2 mg /g,这是由于其表明粗糙的多孔结构增强了重金属吸附性能。于此同时,为了更好地研究农林业残留物的吸附潜力,试验中则使用稻草、小麦秸秆和槐叶植物等生物质材料来去除多种重金属如 Cr,Ni 和 Cd 等。其中,槐叶菊生物质对于去除 Cr,Ni 和 Cd 重金属都具有较高的吸附容量; 同时还通过 Langmuir 和 Freundlich 等温线模型来进一 步分析了三种材料( 稻草、小麦秸秆、槐生物质生物质) 的吸附性能和吸附机制。此外,为了进一步提升 生物质材料的吸附性能,通过次磷酸钠和柠檬酸对芦 苇桅杆、花生叶、泡桐树皮等三种生物质进行化学改性。结果显示,改性后的生物质材料对重金属离子的吸附效果具有显著的提高,这表明后功能化改性对生物质材料的吸附性能的提升具有积极作用。
因此,本研究选用来源广泛、储量丰富且价格便宜的花生壳、玉米芯、白果壳、树皮等四种废弃生物质材料为基材进行吸附剂表面化学改性,通过扫描电镜和红外光谱重点分析改性材料的表面微观结构和功能特性,探讨所制备不同生物质吸附剂对水体中重金属铜的吸附效果,并考察不同 pH、温度、时间下对铜吸附量的影响。与已报道的化学改性相比,我们所 采用液相浸渍工艺简单,操作条件温和,且所消耗的化学试剂价格便宜,所制得的生物吸附剂具有规模化工业应用的前景。该研究所开发的高效生物质吸附剂为环境中重金属离子的消除以及资源化利用提供了一种 “以废治废”廉价高效水环境处理的新方法、新思路,同时也提供了一种绿色高效处理农林业废弃物的途径
1 材料与方法
1. 1 试验材料与试剂
分析纯硫酸( 95. 0% ~ 98. 0%,国药集团化学试剂有限公司) 、硝酸( 65. 0% ~ 68. 0%,国药集团化学试剂有限公司) 、柠檬酸( 99. 5%,上海麦克林生化科技有限公司) 、高锰酸钾( 99. 0%,上海阿拉丁试剂有限公司) 、硫酸铜( 99. 99%,上海阿拉丁试剂有限公 司) 、盐酸( 36. 0% ~ 38. 0%国药集团化学试剂有限公司) 等。试验用水为试验室自制去离子水。花生壳、 玉米芯、白果壳、树皮生物质材料均从浙江杭州取得。
1. 2 试验方法
在本试验中,生物质原生材料取自花生壳、玉米 芯、白果壳、树皮这四种农林业废弃物,通过炭化、 研磨以及采用硫酸改性、硝酸改性、柠檬酸改性、高锰酸钾改性制成各类吸附剂,并对各类吸附剂吸附废水中重金属铜进行研究。具体内容如下: 对花生壳、玉米芯、白果壳、树皮四种生物质原材料通过预处理、炭化、改性等手段制得三种吸附剂。第一种为原生材料。第二种为炭黑材料,即在不同温度对原生材料进行炭化后得到。第三种为分别在 5% 硫酸、 5% 硝酸、5% 柠檬酸和高锰酸钾氧化改性后,制得的改性材料。 重金属铜的配制: 用 1 L 的容量瓶配置 100 mg /L 的硫酸铜溶液,作为储备液,试验过程中通过稀释获得所需重金属废水的浓度。 吸附试验 在 250 ml 烧杯中进行,称取吸附剂 ( 0. 1 g) 置于 100 ml 浓度为 20 mg /L 的模拟废水,控制一定的搅拌速率( 150 ~ 200rpm) 进行吸附。试验过程中每隔一段时间收集相同数量的样品,收集的样品通过微滤膜过滤,采用原子吸收分光计( AAS) ( Varian spectrum VARIAN55B,美国瓦里安有限公司) 测试剩余金属铜的浓度。在吸附试验中,分别考察了不同时间、pH( 4. 0 ~ 7. 0) 、温度( 15 ℃、25 ℃、40 ℃ ) 等参数对重金属铜吸附效果的影响。 脱附试验如下: 先用盐酸水溶液( 1. 0~2. 0 M) 洗脱吸附材料,在 0. 5 M NaOH 溶液中浸泡 10 min,处理后的吸附剂用去离子水冲洗至中性,洗涤后的吸附剂在 80 ℃的烘箱中干燥。脱附试验条件控制为室温 ( 25 ℃ ) 和原始 pH 值( pH 值为 6. 0) 。在相同条件下, 研究了不同吸附剂的再生能力与吸附容量的变化状况。
1. 3 吸附剂的制备
1. 3. 1 原材料的制备
取适量花生壳、玉米芯、白果壳、树皮,用去离子水浸泡 30 min,然后用蒸馏水煮 120 min 后,用去离子水多次洗涤,进行过滤得到生物质滤渣,经过 80 ℃干燥箱中充分干燥后粉碎至粉末状,在密封袋中密封保存,备用。
1. 3. 2 炭黑材料的制备
取适量制备好的原材料放于坩埚中,加盖放入管式炉,分 别 在 300 ℃、400 ℃ 炭化 75 min,保温 60 min。然后用 10%HCl,、10%NaOH 和去离子水将炭化后的原材料冲洗,直至 pH 值为中性时进行过滤,然后在 80 ℃下将滤渣烘干得到各生物质的碳化材料。
1. 3. 3 硫酸改性材料的制备
取适量制备好的原材料,用 5% 硫酸溶液浸泡120 min,过滤后用去离子水多次洗涤滤渣,直至 pH 为中性。置于 80 ℃ 干燥箱中干燥,后用粉碎机粉碎至粉末状,密封保存备用。
1. 3. 4 硝酸改性材料的制备
取适量制备好的原材料,用 5% 硝酸溶液浸泡 120 min,过滤后用去离子水多次洗涤滤渣,直至 pH 为中性。置于 80 ℃ 干燥箱中干燥,后用粉碎机粉碎至粉末状,密封保存备用。
1. 3. 5 柠檬酸改性材料的制备
取适量制备好的原材料,用 5%柠檬酸溶液浸泡 120 min,过滤后去离子水多次洗涤滤渣,直至 pH 为中性。置于 80 ℃干燥箱中干燥,后用粉碎机粉碎至粉末状,密封保存备用。
1. 3. 6 高锰酸钾改性材料的制备
取出 2 g 原料和 1 g NaNO3 在 0 ℃ 条件下加入一定量的浓 H2 SO4 后,再将 3 g KMnO4 加入到上述溶液,并在 0 ℃ 反应 120 min,将上述溶液置于 35 ℃ 温度下反应 1 h,加入 92 mL 去离子水。再将溶液的温度升至 98 ℃,反应 40 min,冷却后加入 30% 的 H2O2,搅拌 10 min,再使用离心机离心,酸洗 2 ~ 3 次后,置于 80 ℃ 干燥箱中干燥,研磨至粉末状, 在密封袋中密封保存,备用。
1. 4 测试方法
将真空干燥后的四种生物质材料的原材料、炭化材料、改性材料置于小圆状的金属盘载物台上,然后在表面度一层金膜。用扫描电镜( SEM,SU8010,日 本日立公司) 进行扫描电镜分析,观察固体表观形貌。对四种生物质材料的原材料、炭化材料、改性材料采用傅立叶红外光谱仪( FTIR,NICOLET 6700,美国热电公司) 测定 IR 光谱。取 5 mg 待测样品加入高纯度 的 KBr ,搅拌均匀后进行压片,最后扫描 ( 2 cm-1 的分辨率,扫描范围 4 000~400 cm-1 ) 分析不同材料*能官**团的情况

式中,q 为金属离子吸附量( mg /g) ; m 为吸附剂量 ( g) ; V 为溶液体积( mL) ; C0 和 Cf 分别为初始和最终金属浓度( mg /L) ; R 为去除率。
2 结果与分析
2. 1 生物质及其改性材料扫描电镜分析
生物质花生壳、玉米芯、白果壳、树皮的原生材料的扫描电镜图如图 1( a) —( d) 。

由图 1( a) —( d) 可以看出,四种材料的表面较为致密,孔结构不明显。其中白果壳、树皮和玉米芯的表面更为平滑致密,花生壳的表面就比较粗糙,蓬松。四种原生吸附 剂材料的无孔结构会限制其对重金属铜的吸附能力。 生物质花生壳、玉米芯、白果壳、树皮的炭化材 料( 400 ℃ ) 的扫描电镜图如图 1( e) —( h) 所示。由图可知,四种材料的经过炭化后虽然出现了孔道但是发生了塌陷。分析原因,在试验过程中由于设备限制, 炭化过程中高温煅烧导致孔道的塌陷,降低了吸附剂的比表面积,减少了吸附位点,降低了吸附容量,对其吸附重金属铜造成不利影响。 生物质花生壳、玉米芯、白果壳、树皮的高锰酸钾氧化改性材料的扫描电镜图如图 1( i) —( l) 。由图可知,四种材料的经过改性后表面从无孔结构变成了有孔结构,其中花生壳和白果壳的孔道相比玉米芯和树皮的更为明显,这一改变显著增加了吸附剂比表面积,进一步增加了吸附位点,提高了吸附剂的吸附容量,有利于这四种吸附剂对重金属铜的去除。
2. 2 红外光谱分析
四种生物质材料的主要成分是有机高分子物质, 故而主要有碳、氧、氧三种元素组成。通过红外光谱的分析,能进一步了解它们的结构和含有的*能官**团。 图 2 为白果壳的红外光谱图谱。

由图 2 可知,白果壳原样在 3 327 cm-1 处振动较强,是 C-OH 振动,由此得知白果壳原生材料的纤维素中有比较多的羟基基团; 在 2 917 cm-1 处是 CH3 -C = O-振动,由此得知白果壳原生材料的木质素中含有酮基; 1 619 cm-1 处振动较强,这是白果壳原生材料的木质素中芳香环的特征振动; 在 1 022 cm-1 处有醚分子中的C-O-C伸 缩振动及醇中的 C -O 振 动。即白果壳中含有- COOH、Ar-R、ArOH、R-OH 等结构。炭化后生物质材料在 3 408 cm-1 处的 C-OH 吸收峰和在2 924 cm-1 处的 CH3-C=O-吸收峰减弱,即相比原生材料,一些有机基团如羟基和羧基变弱或消失,从而降低了其吸附性能。经高锰酸钾氧化的白果壳在1 716 cm-1 左右有新的吸收峰,并且 3 500 cm-1 处的吸收峰变强变宽,说明氧化后成功引入-COOH 基团,同时基团被氧化,增强了材料在水中的分散和吸附性能。
2. 3 吸附性能分析
2. 3. 1 不同物质改性生物质材料对重金属铜的吸附效果
经过硫酸、硝酸、柠檬酸、高锰酸钾改性后的花生壳、玉米芯、白果壳、树皮吸附剂被用于处理 100 mL浓度为 20 mg /L 的模拟废水( pH 为 5,温度为15 ℃ ) ,吸附 24 h 后各吸附材料的重金属铜吸附率结果如图 3 所示。

由图 3 可知,不同生物质材料经过不同物质改性,其吸附性能的变化也不同。经过硝酸改性后,四种生物质材料对重金属铜的吸附率分别达到 20. 4%、29. 1%、30. 8%、29. 6%,相比原生材料提高了 7. 2%、16. 6%、17. 6%、10. 9%。硝酸对生物质材料吸附能力的提高,白果壳>玉米芯>树皮>花生壳。经过硫酸改性后,四种生物质材料对重金属铜的吸附率分别达到 37. 6%、 26. 6%、 43. 0%、 45. 1%,相比原生材料提高了 24. 4%、14. 1%、 30. 0%、26. 4%。硫酸对生物质材料吸附能力的提高,树皮>白果壳>花生壳>玉米芯。经过柠檬酸改性后,四种生物质材料对重金属铜的吸附率分别达到 38. 0%、24. 1%、28. 2%、24. 2%,相比原生材料提高了 24. 8%、11. 5%、15. 0%、5. 50%。柠檬酸对生物质材料吸附能力的提高,花生壳>白果壳>玉米芯> 树皮。高锰酸钾改性的对四种生物质材料吸附性能的 优化最为明显,改性后的花生壳、玉米芯、白果壳、 树皮对重金属铜的吸附率分别达到 79. 4%、65. 3%、 83. 9%、71. 8%, 相比原生材料提高了 66. 2%、 53. 7%、70. 7%、53. 1%。高锰酸钾对生物质材料吸附能力的提高,白果壳>花生壳>玉米芯>树皮。总体 上,四种改性方法中,高锰酸钾改性效果最佳,硫酸次之,柠檬酸和硝酸改性有优化效果但优化效果不明显。
2. 3. 2 时间对原生材料及其改性材料吸附重金属铜的影响

由图 4( a) 可看出,四种原生物质材料花生壳、玉米芯、白果壳、树皮吸附溶液中重金属铜主要经历了三个阶段。在最开始的 20 min 内,四种改性吸附剂快速吸附模拟废水中重金属铜,溶液中铜浓度分别降到 16. 3 mg /L、16. 8 mg /L、16. 7 mg /L、16. 5 mg /L, 出现快速吸附现象的初始阶段说明重金属铜能快速进入吸附剂表面的离子交换位点。在 20 min 至 100 min, 四种原生材料对模拟废水中的重金属铜缓慢吸附,吸附速率降低,溶液中重金属铜浓度下降缓慢。第三个阶段为吸附平衡阶段,在 100 min 之后,花生壳、玉米芯、白果壳、树皮的原生材料对模拟废水中的重金属铜的吸附量基本保持不变,达到了吸附平衡。四种吸 附剂的吸附率分别为 13. 2%、12. 6%、13. 2%、 18. 7%,树皮的吸附效果最佳,花生壳、玉米芯、白果壳的吸附效果相近。由此看出,这四种吸附材料对模拟废水中的重金属铜的吸附量随时间的变化规律都相近,在对模拟废水中的重金属铜的吸附率上的表现, 树皮>花生壳>白果壳>玉米芯。经 300 ℃、400 ℃炭化 的花生壳、玉米芯、白果壳、树皮炭化材料吸附剂吸附处理 100 mL 浓度为 20 mg /L 的模拟废水,溶液重金属铜浓度随时间的变化如图 4 ( b) 和 ( c) 。由图可知, 四种生物质材料花生壳、玉米芯、白果壳、树皮的炭化材料对溶液中重金属铜吸附能力较低。300 ℃ 炭化 材料的吸附率分别为 11. 9%、11. 6%、13. 1%、 10. 5%,400 ℃ 炭化材料的吸附率分别为 10. 5%、 11. 2%、11. 9%、11. 6%。相比原生材料,由于炭化温度不佳,炭化材料的吸附能力没有提高反而有所降低。 由图 4 ( d) 可看出,经过高锰酸钾氧化改性后的花生壳、玉米芯、白果壳、树皮的吸附率分别为 79. 4%、 65. 3%、83. 9%、71. 8%。由此看出,对模拟废水中的重金属铜的吸附率上的表现,改性白果壳>改性花生壳 >改性树皮>改性玉米芯。
2. 3. 3 pH 对原生材料及其改性材料吸附重金属铜的影响
花生壳、玉米芯、白果壳、树皮的原生材料吸附剂分别在 pH 为 4、5、6、7 的条件下吸附处理 100 mL,浓度为 20 mg /L 的模拟废水,并达到吸附平衡。pH 对各吸附剂的吸附率影响如图 5 所示。

由图 5 ( a) 可得知,原生物质材料花生壳、玉米芯、白果壳、树皮对溶液中重金属铜的吸附率随着 pH 的升高而升高。 pH 为 4 时,四种生物质材料花生壳、玉米芯、白果壳、树皮的原生材料对溶液中重金属铜的吸附率很低; 当 pH 从 4 升高到 6 时,四种吸附剂对重金属 Cu 的吸附率明显升高; 当 pH 从 6 升高到 7 时,四种吸附剂对铜的吸附率增加缓慢。此时四种生物质材料对重金属铜的吸附率分别达到 29. 3%、24. 5%、27. 5%、 31. 4%。由图 5 ( b) 可知,经过高锰酸钾改性后,四种生物质材料对铜的吸附率得到显著的提高,分别达到 84. 0%、70. 9%、89. 9%、75. 8%。
2. 3. 4 温度对原生材料及其改性材料吸附重金属铜的影响
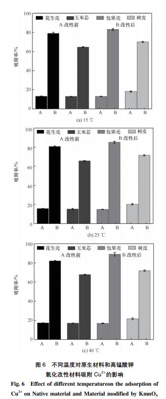
花生壳、玉米芯、白果壳、树皮的原生材料吸附剂分别在 15 ℃、25 ℃、40 ℃ 的温度条件下吸附模拟废水,并达到吸附平衡。温度对各吸附剂的吸附影响如图 6 所示,

由图 6 四种生物质材料花生壳、玉米芯、 白果壳、树皮的原生材料及高锰酸钾改性材料对溶液 中重金属铜的吸附率随着温度的升高而升高,但是增幅并不明显。因此,出于实际吸附处理的成本考虑, 吸附可在室温条件下进行。 与纯生物质材料相比,高锰酸钾改性后生物质 材料花生壳、玉米芯、白果壳、树皮的吸附性能有明显地提升,平衡吸附量分别达到了 19. 43 mg /g、 15. 99 mg /g、20. 62 mg /g、17. 18 mg /g。相比之下, 我们制备的改性白果壳在重金属离子去除方面表现出比绝大多数报道的生物质吸附剂更优异的性能 ( 如表 1 所列) 。

3 研究结论
本试验针对目前重金属废水污染的严重问题, 而现有的吸附材料主要是有吸附容量低、原料成本高、再生困难、制备时间长、制备过程复杂且不易回收等问题,因此选用来源广泛且价格低廉的生物材料为基体,通过不同改性方法制备了一系列对重金属铜具有高效吸附性能的新型生物吸附剂材料, 通过结构特性表征分析改性对生物质材料的影响, 探讨材料结构特性与吸附性能之间的作用机制,得出以下结论:
( 1) 采用花生壳、玉米芯、白果壳、树皮等四种来源广泛的废弃生物质材料为基体,通过表面预处理、高温炭化以及后功能化改性( 硫酸、硝酸、柠檬酸、高锰酸钾活化) 制备一系列新型高效的生物质吸附剂,与未改性生物质相比,吸附容量和吸附率得到显著提升,表明该方法对于废弃生物质改性具有较强的普适性,为高性能生物质吸附剂的制备提供新思路。
( 2) 在四种不同改性方法中,高锰酸钾改性的对 生物质材料吸附性能的优化最为明显,改性后的花生壳、玉米芯、白果壳、树皮对重金属铜的吸附率相比原废弃生物材料提高了 66. 2%、53. 7%、70. 7%、 53. 1%。经表征分析,吸附剂材料的孔道结构和表面特性对于重金属离子吸附至关重要,高比表面积/孔隙率和丰富的功能基团可显著提高对重金属离子吸附。
( 3) 该研究中所开发的高效生物质吸附剂为环境中消除重金属离子污染以及资源化利用提供了一种廉价高效的新方法,同时也提供了一种绿色高效处理农林业废弃物的途径。
( 4) 由于本试验研究的水体污染物简单,而实际水体成分往往较复杂,含有多种重金属离子以及有机物,为推动所开发吸附剂的实际应用,在未来研究中应选择实际水体为目标体系,以便为新型吸附剂的实际应用提供参考。
水利水电技术
水利部《水利水电技术》杂志是中国水利水电行业的综合性技术期刊(月刊),为全国中文核心期刊,面向国内外公开发行。本刊以介绍我国水资源的开发、利用、治理、配置、节约和保护,以及水利水电工程的勘测、设计、施工、运行管理和科学研究等方面的技术经验为主,同时也报道国外的先进技术。期刊主要栏目有:水文水资源、水工建筑、工程施工、工程基础、水力学、机电技术、泥沙研究、水环境与水生态、运行管理、试验研究、工程地质、金属结构、水利经济、水利规划、防汛抗旱、建设管理、新能源、城市水利、农村水利、水土保持、水库移民、水利现代化、国际水利等。
