slope函数
函数定义: 计算回归直线的斜率
官方说明: 返回根据known_y's和known_x's中的数据点拟合的线性回归直线的斜率.斜率为直线上任意两点的重直距离与水平距离的比值,也就是回归直线的变化率.
解赋大白话: 计算回归直线的斜率
使用格式: SLOPE(known_y's,known_x's)
解赋白话格式: SLOPE(因变量,自变量)
参数定义:
Known_y's 为数字型因变量数据点数组或单元格区域.
Known_x's 为自变量数据点集合.
注意事项:
1.参数可以是数字,或者是包含数字的名称、数组或引用.
2.如果数组或引用参数包含文本、逻辑值或空白单元格,则这些值将被忽略;但包含零值的单元格将计算在内.
3.如果known_y's和known_x's为空或其数据点个数不同,函数SLOPE返回错误值#N/A.
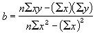
4.回归直线的斜率计算公式如下:

斜率计算公式
其中x和y是样本平均值AVERAGE(known_x's)和AVERAGE(known_y's).

slope函数