更多关注公号:环保水处理(hbscl01)


1. A/A/O工艺设计
1.1设计参数

1.2 好氧池设计计算
(1)反应器内MLSS浓度
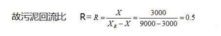
取MLSS浓度X=3000mg/L,回流污泥浓度XR=9000mg/L

(2)求硝化的比生长速率

(3)求设计SRTd(污泥龄)

(4)好氧池停留时间

(5)好氧池面积

(6)生物固体产量

(7)比较求由氮氧化成的硝酸盐数量

1.3缺氧池设计计算
(1)内回流比IR

(2)缺氧池面积

1.4 厌氧池设计计算
(1)厌氧池容积

1.5曝气系统设计计算(本设计采用鼓风曝气系统)
(1)设计最大需氧量AOR
AOR=除去BOD需氧量—剩余污泥当量+消化需氧量—反硝化产氧量

(2)供气量的计算
采用STEDOC300型橡胶膜微孔曝气器,敷设于距池底0.2m处,淹没水深4.8m,氧 转移效率30%,计算温度定为30℃。
氧在蒸馏水中的溶解度:

(3)曝气器计算
在每个廊道中每平方米中该设置一个曝气器,一个曝气池的总面积360m2。故曝气池中的微孔曝气器数量N=360个。这里采用STEDOC300型橡胶膜微孔曝气器,其主要性能参数见下:

校核每个曝气头的供气量

(4)空压机的选择
空气管路中总压力损失按5KPa计算
故空压机所需压力P为:

根据所需压力和供气量,采用两台RD-125型罗茨鼓风机(1.45m×1m),一用一备。
1.6 其它设备选型
(1)厌、缺氧区搅拌器
取搅拌能量5w/m3,故厌、缺氧区所需能量为:

选用两台DOTO 15型低速潜水推流器。
(2)内回流泵
内回流比IR=132%,故内回流流量Qr为:

1.7 反应池廊道和出水堰布置
(1)反应池廊道布置
A/A/O反应池采用4廊道设计,好氧池两个廊道,缺氧池和厌氧池共两个廊道,有效水深5m,每个廊道宽5m,大36m
(2)出水堰堰上水头h

