临夏州住房和城乡建设局关于发布临夏州2022年5~6月建设工程一类材料信息价的通知
各县(市)住建局,各建设、设计、施工、工程造价咨询单位:
根据《甘肃省建设工程材料价格编制管理办法》《甘肃省住房和城乡建设厅关于〈建筑工人实名制等费用计取方法的公告〉的通知》(甘建公告〔2022〕2号)、《甘肃省建设工程造价管理总站关于加强〈建设工程人材机价格信息采集发布工作〉的通知》(甘建价字〔2022〕2号)文件精神,州住建局组织人员对全州建筑企业、建筑材料经销商及商砼站等市场调查基础上编制了临夏州2022年5~6月建设工程一类材料信息价,现予以发布,并将有关事项通知如下:
一、本通知所列材料信息价与《甘肃省建设工程计价规则》(DBJD25-98-2020)(甘建公告〔2020〕84号文)、《建设工程工程量清单计价规范》(DBJD25-50-2013)、《甘肃省住房和城乡建设厅关于印发〈关于调整甘肃省建设工程计价依据增值税税率有关规定的通知〉的通知》(甘建价〔2019〕118号)等现行计价依据配套执行。
二、本信息价中除材料和人工价差计取税金外,不再计取其他费用。
三、信息价中的材料若遇到市场价格波动过大时,甲乙双方在合同中约定,结算时按适时增值税发票做相应调整。
四、本通知由临夏州建设工程造价管理站负责解释。
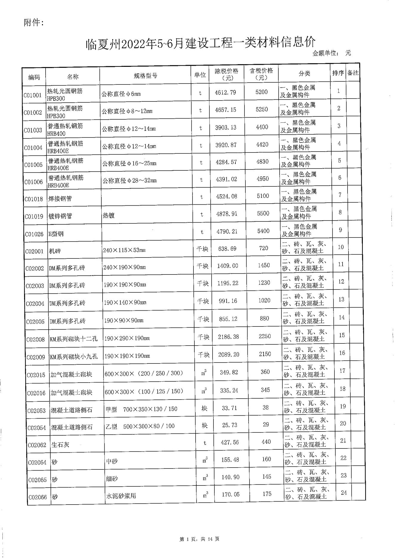
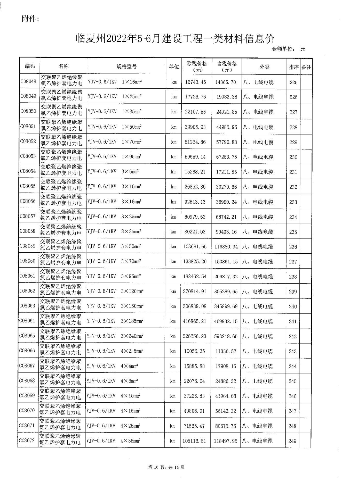
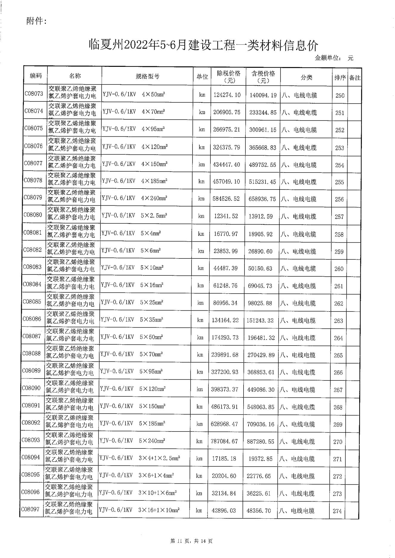
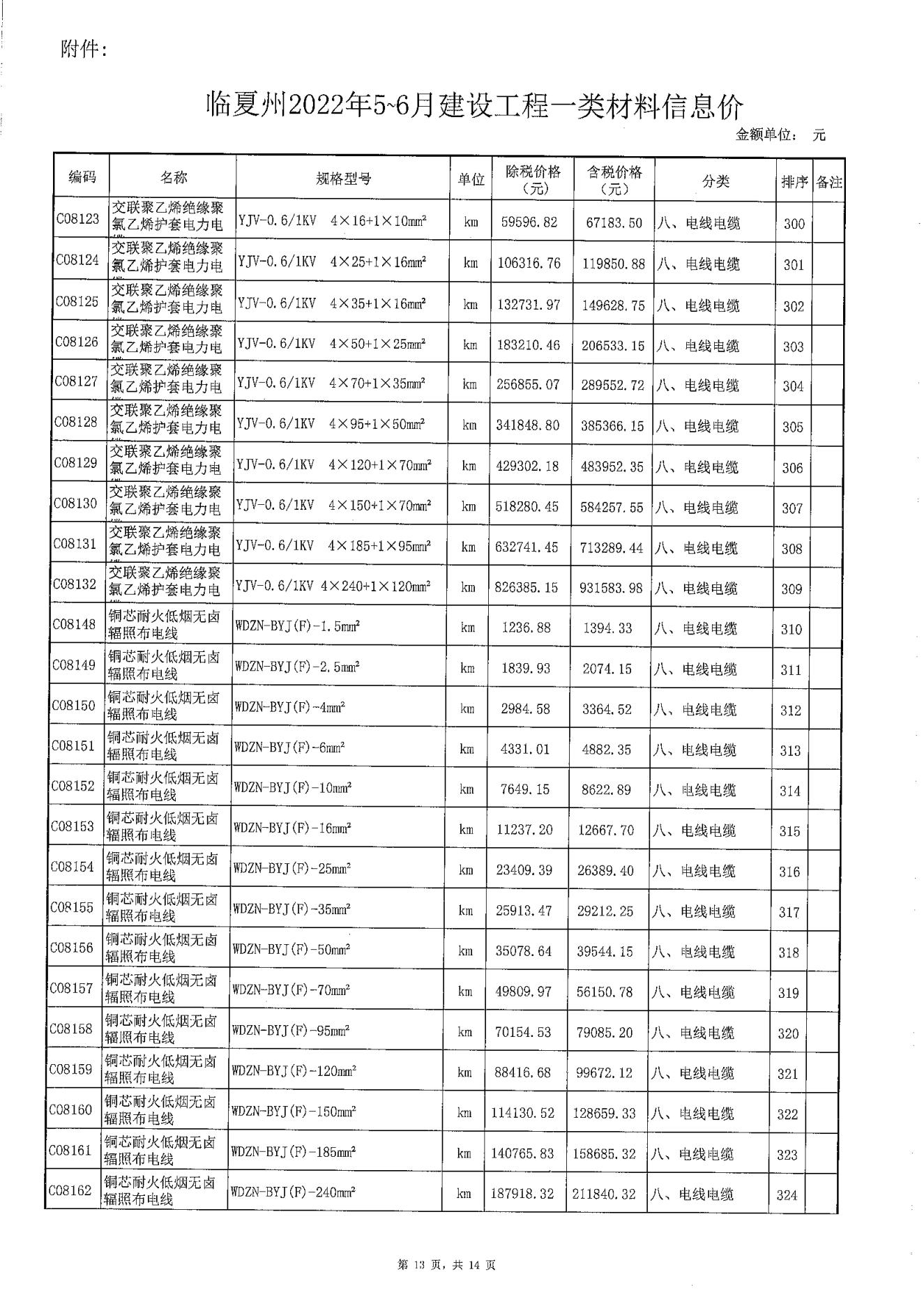
附件:《临夏州2022年5~6月建设工程一类材料信息价》
临夏州住房和城乡建设局
2022年6月27日
(此件公开发布)













