
本文为转化医学网原创,转载请注明出处
作者:Lauren
导言:*行为性**会容易感染COVID-19吗?相信很多人都有同样的疑问,新型冠状病毒主要是通过呼吸道感染,通过飞沫传播,一般不会通过*行为性**传播,最近美国科学家在《生育与不育》(Fertility & Sterility)杂志上发表了一项研究,表明COVID-19不会通过*行为性**传播。
犹他大学(University of Utah)的健康科学家参与了一项针对最近中国新冠男性感染患者的国际研究表示,COVID-19不太可能通过精液传播。没有证据表明导致COVID-19的病毒存在于男士精液或*丸睾**中。
这项研究并不是足够全面的,不能够完全排除COVID-19*行为性**传播的可能性。然而,基于有限的研究,通过*行为性**传播COVID-19的可能性似乎可以排除了。
这项研究的合著者、美国男性生育泌尿卫生副教授、医学博士詹姆斯·M·霍塔林(James M.Hotaling)表示,“事实上,在这个小型的基础研究中,导致COVID-19的病毒不会出现在*丸睾**或精液中可能是一项重大发现。如果COVID-19这样的疾病是可以通过性传播的,那会对疾病预防产生重大影响,并可能对男性长期的生殖健康造成严重后果。
这项研究发表在《生育与不育》(Fertility & Sterility)杂志上,这是一本由美国生殖医学学会出版的同行评审期刊。

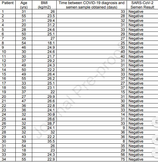
来自中国和美国的国际研究团队发起了这项研究,这项研究是为了回应SARS-CoV-2(导致COVID-19的病毒)可能通过*行为性**传播,像埃博拉、寨卡病毒和其他新出现的病毒病原体那样。为了找到答案,研究人员在一些中国男性被诊断为轻度到中度的COVID-19后,平均一个月搜集了34名中国男性的精液样本,实验室检测在这些精液样本中没有检测出SARS-CoV-2。

已确认COVID-19的成年男性的个体特征,为SARS-CoV-2检测提供精液样本
但是,仅仅因为病毒在现有的精液中没有出现,并不意味着病毒没有进去精子细胞形成的*丸睾**中。
犹他大学猎人癌症研究所(Huntsman Cancer Institute)的博士后科学家,这项研究的合著者郭景涛(Jingtao Guo)表示,“如果病毒在*丸睾**中而不是在精子中,那就不会通过*行为性**传播,如果病毒测试存在于*丸睾**中,病毒会对精液和精子产生造成长期损害。”
为了解决这部分难题,研究人员分析了从健康年轻器官捐赠者的单细胞mRNA图谱中生成的数据库,这个数据库都是来自早期工作中获得的。这个图谱可以允许研究人员检测任何单个*丸睾**细胞中的信使mRNA,即用来制造蛋白质的遗传物质。
在这种情况下,研究人员检查了与SARS-CoV-2相关的一组基因的表达,这两种基因是血管紧张素转化酶2(ACE2)和跨膜丝氨酸蛋白酶2(TMPRSS2)作为受体,允许SARS-CoV-2渗透细胞并进行复制。为了让病毒有效进入细胞,两个受体必须在同一细胞中出现。

当科学家们检查数据库时,发现在6500个*丸睾**细胞中只有4个发现了编码这两种蛋白质的基因,这表明SARS-CoV-2不太可能侵入人类*丸睾**细胞。
尽管有了这些研究,研究人员表示,该研究仍有一些重要的局限性,包括样本范围小,供给的样本没有COVID-19重症病例。
霍塔林表示,“患重症COVID-19男性可能有更高的病毒载量,可能导致更大的感染精液的可能性。我们只是现在还没有这个问题的答案。但是我们知道,在这项研究中从轻度到中度康复的患者中,我们没有发现COVID-19病毒,这是令人欣慰的。”
然而,霍塔林警告称,亲密接触仍然会增加疾病传播的风险通过咳嗽、打喷嚏和接吻。此外,一些受感染的人群没有症状,即使看起来健康,也能将病毒传染给其他人。
参考:
【1】https://medicalxpress.com/news/2020-04-evidence-covid-isnt-sexually-transmitted.html
【2】https://www.fertstert.org/article/S0015-0282(20)30384-8/pdf

【柳叶刀子刊】2型糠尿病老年患者面临更高的COVID-19死亡风险
你们有没有遇到过这种bug?
【新冠】吸烟状态与COVID-19严重程度呈正比
【Nature子刊】新突破:免疫系统吞噬癌细胞的胃口增大
