帕金森病是一种常见的神经系统变性疾病,老年人多见,平均发病年龄为60岁左右。其最主要的病理改变是中脑黑质多巴胺(DA)能神经元的变性死亡,由此而引起纹状体DA含量显著性减少而致病。导致这一病理改变的确切病因目前仍不清楚,遗传因素、环境因素、年龄老化、氧化应激等均可能参与PD多巴胺能神经元的变性死亡过程。

欧洲帕金森病联合会帕金森病是一种常见的神经系统变性疾病,老年人多见,平均发病年龄为60岁左右。其最主从1997年开始,将每年的4月11日确定为“世界帕金森病日”,这一天是帕金森病的发现者——英国内科医生詹姆斯·帕金森博士的生日。Brainnews精选了2022-2023年帕金森研究的最新进展。
帕金森病相关主文推荐
1. Cell Research:李丹/王坚/刘聪合作发现人脑全新病理蛋白纤维聚集体
2. Cell:如何阻止帕金森病的神经退行性变? 3. Cell最新:帕金森病突触核蛋白的重要机制 4. JCI:神经所报道新型分子标记物实现可预测的帕金森病细胞治疗结果 5. Science:帕金森病的风险基因——GPNMB 6. Neuron:神经元NLRP3是帕金森病中驱动神经退变的Parkin底物 7. Redox Biology:张卫光团队发现帕金森病氧化应激调节的新机制 8. 上海交通大学钱晓华团队持续开发帕金森病运动视频智能评估新范式 9. Cell最新:徐浩新团队首次揭秘帕金森病相关溶酶体氢离子通道 10. Nat Commun:李丹/刘聪合作揭示帕金森病致病蛋白α-syn聚集的调控新机制 11. Frontiers系列综述:缺氧与帕金森病病理进展密不可分 12. Brain Stimulation:帕金森病深部脑刺激的诱发电位 13. Frontiers系列:皮质萎缩和功能连接异常与帕金森病抑郁表型有关 14. Adv Sci:青岛大学姜宏团队发现帕金森病潜在诊断标志物的中枢机制 15. Nat Rev Neurosci全面综述:星形胶质细胞在AD、PD等神经退行性疾病中的作用机制 16. Movement Disord:18F-Florzolotau PET成像对帕金森病痴呆的应用 17. Frontiers系列:氧化应激对伴有神经精神症状的帕金森病的潜在作用 18. 李天晴/季维智报道基因工程化间充质干细胞治疗帕金森病模型新进展 19. PNAS:刘劲松团队解析帕金森病靶点Nurr1及Nurr1-RXRα别构激活的结构基础 20. Front.aging neurosci-阿尔茨海默病和帕金森病中的小胶质细胞自噬 21. 唐北沙教授团队发表首个大型中国帕金森病人群全基因组关联研究 22. Nat. Commun:帕金森病的肠道菌群失调新证据 23. J Adv Res:浙医二院张宝荣教授团队揭示帕金森病类淋巴系统的机制 24. Cell Stem Cell:陈跃军团队建立新技术助力改进帕金森症细胞治疗 25. MOVEMENT DISORD:帕金森病伴异动症患者黑质结构及功能改变形式 26. Nano Today:通过增强神经元选择性自噬水平治疗帕金森的新策略 27. Nature子刊:李晓江/李世华/闫森/赖良学等首次证明基因治疗能改善神经退行性疾病大动物模型的病理变化 28. Adv Sci:张云龙团队揭示调控小胶质细胞改善认知功能障碍的新机制
其他精彩汇总 1, npj Parkinsons Dis:快速眼动行为,和帕金森帕金森皮层变薄相关来源:神经新前沿

快速眼动(REM)睡眠行为障碍(RBD)是一种寄生性失眠,表现为在快速眼动睡眠期间做与简单或复杂运动行为有关的生动梦境,是帕金森病(PD)最常见的非运动症状之一。近日,来自加拿大University of Calgary的研究人员对帕金森病进展标志物倡议项目中的早期、新发PD患者的RBD与皮质厚度和皮质*体下**积变化之间的关系进行了横断面和纵向研究。该研究发现,在皮层下容积分析中,pRBD的存在与左侧尾状核、苍白球的容积随时间推移而减少有关。左侧尾状核、苍白球和杏仁核。左侧尾状核的体积变化显示了与全球认知的关联性。该研究结果表明RBD是PD运动和非运动症状快速发展,并表明左脑岛和尾状核的萎缩可能是PD患者预后较差的基本神经生物学机制。 阅读链接: npj Parkinsons Dis:快速眼动行为,和帕金森帕金森皮层变薄相关
2, 【综述】帕金森病患者血压和治疗药物相关性的研究进展来源:中华神经科杂志帕金森病是发病率仅次于阿尔茨海默病的神经系统退行性疾病。近日发表在《中华神经科杂志》上的一篇研究总结了帕金森病血压异常的表现,分析了以左旋多巴为主的帕金森病治疗药物与患者血压变化的相关性,归纳了左旋多巴等抗帕金森病药物对帕金森病血压影响的可能机制。 阅读链接: 【综述】帕金森病患者血压和治疗药物相关性的研究进展
3, 【综述】帕金森病患者血压昼夜节律紊乱的研究进展来源:中华神经科杂志血压昼夜节律紊乱是帕金森病患者常见的血压异常形式,血压昼夜节律紊乱与帕金森病临床表型、疾病进展和预后关系密切。加强对帕金森病患者血压昼夜节律紊乱的筛查和干预,有助于优化帕金森病临床干预策略,提高患者生活质量。近日发表在《中华神经科杂志》上的一篇综述文章,统性回顾帕金森病患者血压昼夜节律紊乱的临床与基础研究,从血压昼夜节律紊乱的临床定义及分类、发病机制和影响因素、与帕金森病临床表型和预后的关系以及临床干预措施几个方面对帕金森病患者血压昼夜节律紊乱进行综述。阅读链接:【综述】帕金森病患者血压昼夜节律紊乱的研究进展
4, 北京天坛医院张建国教授团队《Brain》揭示帕金森病冻结步态患者皮层放电特征并提出带宽模型
来源:脑机接口社区
近日,首都医科大学附属北京天坛医院神经外科张建国教授团队在Brain 在线发表研究论文,发现帕金森病患者大脑初级运动皮层神经元的过度同步化放电是导致步态冻结的关键因素,而丘脑底核-脑深部电刺激(STN-DBS)可通过去同步化异常放电达到治疗作用。基于此提出的冻结步态“带宽模型”成为国际上首个阐述DBS治疗步态障碍的皮层-基底节系统性模型。
阅读链接:
北京天坛医院张建国教授团队《Brain》揭示帕金森病冻结步态患者皮层放电特征并提出带宽模型
5, Cell Metab|明星分子NAD“再下一城”,烟酰胺核糖在帕金森病临床I期实验结果来源:BioArt
神经退行性疾病帕金森(PD)可影响1%-2%的65岁以上人群。目前药物治疗主要是外源补充多巴胺并抑制体内多巴胺降解,对遏制疾病进展无太大作用。烟酰胺腺嘌呤二核苷酸(NAD)参与了多个重要的生命过程。近几年来,多项研究揭示了在正常衰老和罹患神经退行性疾病的人群中补充NAD具有神经保护作用,补充NAD可有助于缓解涉及PD进展多个过程。近日,挪威克兰大学医院Charalampos Tzoulis团队在Cell Metabolism 上发表了文章,完成了一项随机、双盲临床一期实验NADPARK:在帕金森病人补充NAD前体分子烟酰胺核糖(NR),追踪观察体内NAD水平变化和运动神经元改善状况。临床实验结果显示了NR添加后可明显提高NAD代谢组水平,大脑中NAD水平也明显升高。基因表达和组织样本分析提示NR添加后,多项PD致病相关的细胞生物学过程得到缓解改善,进一步说明NR补充疗法的神经保护作用,NR添加对PD治疗有益。阅读链接:Cell Metab|明星分子NAD“再下一城”,烟酰胺核糖在帕金森病临床I期实验结果
6, npj Parkinsons Dis:丘脑的形态学,可预测帕金森的冻结步态来源:神经新前沿
丘脑形态学变化示意图步态冻结(FOG)是影响许多帕金森病(PD)患者的一种衰弱症状。这导致跌倒的风险增加,并对身体和精神健康相关的生活质量产生重大影响。由于对多巴胺替代疗法的反应不同,以及左旋多巴随着时间的推移对FOG的潜在负面影响,FOG的治疗具有挑战性。近日,比利时鲁汶大学的Nicholas D’Cruz等人,利用磁共振成像(MRI)调查了与FOG相关的关键皮层下结构的形态学变化。该研究结果表明,丘脑的形态变化或可作为FOG的标志物,这可能会促进早期干预和改善PD患者的行动能力。阅读链接:npj Parkinsons Dis:丘脑的形态学,可预测帕金森的冻结步态
7, 《细胞》杂志报道阻止帕金森氏病恶化的新靶点来源:小柯生命

Parthanatos(一种新的细胞死亡形式)相关凋亡诱导因子核酸酶(PAAN),也被称为巨噬细胞迁移抑制因子(MIF),是PD-D/E(X)K核酸酶的成员,在parthanatos中起最后的执行者作用。近日,美国约翰霍普金斯大学Valina L. Dawson研究团队在Cell 杂志发表了最新的研究成果,发现抑制PAAN/MIF核酸酶可防止帕金森病的神经退行性。
研究人员表明,病理性α-突触蛋白(α-syn)诱导的神经变性是通过PAAN/MIF核酸酶活性发生的。PAAN/MIF的遗传耗竭和缺乏核酸酶活性的突变体可防止散发性PD的α-syn预成纤维(PFF)小鼠模型中多巴胺能神经元的缺失和行为缺陷。通过化合物筛选,研究人员发现了PAANIB-1,这是一种脑渗透性的PAAN/MIF核酸酶*制剂抑**,可以防止α-syn PFF、AAV-α-syn过表达或MPTP中毒在体内诱发的神经退行性。
阅读链接:
《细胞》杂志报道阻止帕金森氏病恶化的新靶点
8, 干细胞疗法逆转鼠帕金森后,即将开始新一轮人体试验来源:生物通
干细胞疗法在许多领域都显示出巨大的前景。帕金森氏症被认为是创新干细胞疗法的主要目标,因为这种疾病可以追溯到大脑特定区域的特定类型的细胞的退化。该领域的一个实验小组已经表明,将精心培养的干细胞植入鼠体内可以显著恢复该疾病典型的运动症状,现在他们正将目光投向即将到来的人体试验。已有研究发现,精神分裂症患者具有更高的吸烟率,并且更容易发展为重度吸烟行为。根据“自我给药”假说,吸烟是精神分裂症患者一种自我给药行为,吸烟有助于帮助患患者的认知症状有益。阅读链接:干细胞疗法逆转鼠帕金森后,即将开始新一轮人体试验
9, JPD:中国50万人研究:爱吸烟和喝茶的人,长期患帕金森的风险如何?来源:神经新前沿帕金森病(PD)是中老年人群中常见的神经性疾病,其病因尚不清楚。以前的荟萃分析,包括主要的病例对照研究,报道了吸烟是PD的保护性因素。一些实验研究表明,茶叶中的天然生物活性成分,如多酚、茶氨酸和咖啡因,可能对PD等神经退行性疾病带来神经保护作用。北京大学的Jia Niea等人,在中国China Kadoorie Biobank对50万成年人的研究中,前瞻性地研究饮茶和吸烟与PD风险的独立和联合关系。研究发现,吸烟和每日饮茶与PD的风险独立成反比。饮茶和吸烟对PD风险没有明显的乘法或加法交互作用。阅读链接:JPD:中国50万人研究:爱吸烟和喝茶的人,长期患帕金森的风险如何?
10, Lancet Neurol:阿朴*啡吗**可有效改善帕金森病患者的睡眠障碍来源:神经新前沿失眠是帕金森病患者的常见主诉,对患者的生活质量有极大的负面影响。改善睡眠和帕金森症状的药物对帕金森病引起的失眠患者有很大的好处。近日发表在The Lancet Neurology 上的研究旨在测试夜间皮下输注阿朴*啡吗**在失眠的帕金森病患者中的效果和安全性。该研究共招募了46位患者,25位(54%)先接受阿朴*啡吗**,21位(46%)先接受安慰剂。与安慰剂相比,阿朴*啡吗**干预后的平均PDSS评分变化明显更大。根据PDSS评分的差异,夜间皮下注射阿朴*啡吗**可改善帕金森病患者的睡眠障碍,其总体安全性与以往关于帕金森病的研究一致。 阅读链接: Lancet Neurol:阿朴*啡吗**可有效改善帕金森病患者的睡眠障碍
11, Neurology:神经丝光与帕金森病的发展和严重程度的关联
来源:神经新前沿血液生物标记物可能有助于早期识别帕金森氏病(PD)、帕金森氏症以及与PD相关的不良结局。神经丝光(Nf-L)是一种神经细胞质蛋白,是可在生物体液中检测到的神经退行性变的生物标志物。近日,有研究人员在以老年人为基础的人群样本中,检查了临床诊断为帕金森氏症的患者的基线血清神经丝光与帕金森症状和身体功能在16年内发生变化之间的相关性。研究结果表明,血清Nf-L与临床帕金森病、帕金森症状和身体功能下降有关。发现表明,Nf-L可能是神经退行性变的潜在生物标记物。阅读链接:Neurology:神经丝光与帕金森病的发展和严重程度的关联
12, 单细胞空间转录组学鉴定帕金森病中的脆弱神经元来源:生物通帕金森病(PD)的一个明确病理标志是基底神经节中脑结构中称为脑黑质(SNpc)的多巴胺(DA)释放神经元的退化。然而,与多巴胺神经元易损性相关的分子特征尚未完全确定,即使在帕金森病晚期,也有一些多巴胺神经元在SNpc中存活。这表明在疾病的发展过程中,某些神经元比其他神经元更脆弱。近日哈佛大学的研究人员在《自然神经科学》杂志上发表了一项研究,从人类大脑样本中分离出22048个多巴胺神经元,并通过单细胞测序其基因表达,发现了10个不同的多巴胺神经元亚型。研究表明帕金森氏病可能是由多巴胺神经元中的特定子集的丢失引起的,而不是由整个多巴胺神经元群的丢失引起的。阅读链接:单细胞空间转录组学鉴定帕金森病中的脆弱神经元
13, 速递 | 治疗帕金森病,艾伯维递交新治疗方式新药申请来源:药明康德近日,艾伯维公司宣布,已经向美国FDA递交其在研疗法ABBV-951(foslevodopa/foscarbidopa)的新药申请,用于治疗晚期帕金森病患者的运动症状波动。ABBV-951是左旋多巴和卡比多巴的前体药物。它们具有很高的水溶性,可以通过一个连接到皮下的泵持续皮下输注给药,从而稳定维持药物在体内的浓度。新闻稿指出,如果获得批准,ABBV-951将给患者提供首款持续皮下递送左旋多巴/卡比多巴前药的治疗方式。阅读链接:速递 | 治疗帕金森病,艾伯维递交新治疗方式新药申请
14, The BMJ:早期帕金森病患者的尿酸水平来源:英国医学杂志中文版对帕金森病更好治疗方案的探索仍在继续。一项针对298例早期患者进行的小型随机试验发现,具有升高尿酸盐作用的肌苷并没有获得预想的效果。该疗法的基本原理是血液中的抗氧化剂尿酸盐可以抵御帕金森病中多巴胺能神经元的氧化损伤。遗憾的是,在这项研究中,肌苷组和安慰剂组都显示出稳定的疾病进展,两者之间没有差异。虽然安慰剂组严重不良事件更多,但肌苷组发生的肾结石更多。阅读连接:The BMJ:早期帕金森病患者的尿酸水平
15, 颅脑损伤患者进行性脑退化的预测因素来源:NEJM医学前沿在急性脑损伤中,GFAP和神经丝蛋白轻链等生物标志物已经过广泛研究。然而,在慢性脑损伤中,生物标志物的应用有限。近日发表在Brain 上的一篇文章将颅脑损伤(TBI)作为进行性脑退化的原因进行了研究,发现TBI与帕金森综合征风险强相关。该研究的评论文章认为,尽管该研究表明TBI的生物标志物可预测进行性脑退化(脑白质和脑容量损失),但这些生物标志物在常规临床实践中的使用应该受到限制,必须开展进一步研究。阅读连接:颅脑损伤患者进行性脑退化的预测因素
16, Neuron | Parkin通过两步机制激活NLRP3炎性小体以驱动帕金森病中的神经变性来源:BioArt

中脑黑质致密部(SNpc)中多巴胺能(DA)神经元的死亡是帕金森病(PD)的标志,α-突触核蛋白(α-syn)的神经元内积累和线粒体功能障碍是PD的主要病理学特征。NLRP3炎性小体是先天免疫系统的主要组成部分。尽管小胶质细胞中NLRP3炎症小体的过度活化已在包括PD在内的各种神经退行性疾病中得到充分证明,但具体机制还不得而知。近日,来自美国约翰霍普金斯大学医学院的Ted M. Dawson团队和Valina L. Dawson团队在Neuron 杂志上合作发表了一篇文章,他们证明DA神经元中Parkin活性丧失导致NLRP3炎性小体组装和激活的具体机制,因而限制神经元中NLRP3炎性小体激活的策略将有望作为缓解PD疾病的潜在疗法。阅读链接:Neuron | Parkin通过两步机制激活NLRP3炎性小体以驱动帕金森病中的神经变性
17, Advance Materials:具有独 立模块/级联功能的工程型外泌体通过多步靶向和多阶段干预治疗帕金森疾病来源:奇物论
目前的外泌体工程方法往往导致会外泌体形态和膜发生损伤,不能满足复杂的疾病治疗需求。有鉴于此,南京师范大学万密密副教授提出了独立模块/级联功能的概念,构建了具有独立人工模块和自然模块的工程型外泌体纳米治疗平台。该研究提出了疾病微环境损伤细胞-患病线粒体的多步骤靶向策略和抑制恶化、促进修复的多阶段干预理念,有望突破现有PD治疗的瓶颈。阅读连接:Advance Materials:具有独立模块/级联功能的工程型外泌体通过多步靶向和多阶段干预治疗帕金森疾病
18, Cell:帕金森病蛋白α-syn调控mRNA稳定性来源:BioArt
帕金森病是目前最为常见的神经退行性运动障碍之一。世界第一例家族性帕金森病与SNCA等位基因的A53点突变相关,这一等位基因编码了一个分子量约为14kD名为α-syn的蛋白质。近日,来自美国哈佛医学院的Vikram Khurana研究组在Cell 上发表文章,发现在胞浆中,α-syn可以调控P-body复合物以及mRNA的稳定性。α-syn可以直接调控p-body,其氨基端可以与细胞膜或者是胞浆中的p-body直接结合,而且,与多种脱帽蛋白结合时需要Edc4的支架作用。随着α-syn的异常积累,Edc4与去盖蛋白结合水平降低。在帕金森病人的大脑神经元中,因α-syn水平异常导致mRNA稳定性遭到破坏。阅读链接:Cell:帕金森病蛋白α-syn调控mRNA稳定性
19,《科学·转化医学》: 用于帕金森氏病的小分子治疗在动物身上显示了希望,并在人体中证明是安全的来源:ScienceAAAS在全球65岁或以上的人群中,受帕金森氏病影响的比率多达2%。有多个研究表明,LRRK2基因的突变是帕金森氏病最常见的遗传风险因子之一。这些突变放大了LRRK2酶的活性,而该酶可以损害分解细胞内蛋白质废物的溶酶体的功能。研究人员测试了一种名为DNL201的用于帕金森氏病的实验性小分子,发现该化合物可在细胞模型中增强溶酶体的功能,在大鼠体内有效抑制了该酶的活性,并在给猕猴使用28天后发现是安全的,并且在150人中显示可安全使用。阅读链接:《科学·转化医学》:用于帕金森氏病的小分子治疗在动物身上显示了希望,并在人体中证明是安全的
20, 《柳叶刀》子刊:经常做噩梦,可能是帕金森的早期征兆来源:医诺维做梦是每个人必不可少的经历,但是梦境会受到心理和生理健康的影响,会出现噩梦或者愉快的梦。近日,英国伯明翰大学的研究人员在EClinicalMedicine 上发表了一篇研究论文。该研究表明,做噩梦可能是帕金森病的早期征兆,经常做恶梦的人后来被诊断为帕金森氏症的可能性是没有做恶梦的人的两倍。然而,大多数诊断发生在研究的前五年,在此期间经常做恶梦的参与者患帕金森病的可能性是其三倍以上。阅读连接:《柳叶刀》子刊:经常做噩梦,可能是帕金森的早期征兆
21, 冷漠反映了新发帕金森病的纹状体外多巴胺能变性来源:神经新前沿
冷漠可能是帕金森病(PD)的核心神经精神症状。此外,冷漠一直与PD的认知能力下降有关,导致生活质量显著下降。由于目前没有既定的有效治疗PD的方法,需要更好地了解其病理机制以设计新的治疗策略。近日发表在Journal of Parkinson's disease 上的一篇研究发现,皮层DAT摄取不仅在PD中发生改变,而且在疾病过程中逐渐减少。此外,皮层DAT摄取的改变导致了认知障碍,与PD中发生的固有纹状体多巴胺耗竭无关。孤立的帕金森病患者与纹状体外多巴胺能变性有关。由于这种异常的多巴胺消耗又与认知能力有关,这至少可以部分地解释冷漠型PD患者发展为认知障碍或痴呆的风险增加。阅读链接:冷漠反映了新发帕金森病的纹状体外多巴胺能变性
22, Nat Commun:唐北沙/蔡怀彬发现帕金森病新致病基因-DAGLB基因来源:BioArtMED

帕金森病(PD)是常见的神经退行性疾病之一,目前认为遗传因素、环境因素与年龄老化在PD发生发展过程中起了重要作用。近日,中南大学湘雅医院唐北沙课题组与美国国立卫生研究院蔡怀彬课题组合作在Nature Communications 发表了研究论文,该研究发现鉴定了PD新致病基因-DAGLB,发现了Daglb合成的内源性*麻大**素与小鼠转棒运动学习密切相关。敲低DAN Daglb可通过减少内源性*麻大**素合成,从而介导DAN兴奋性下降和多巴胺递质释放减少。该研究阐明了内源性*麻大**素在PD发生中的作用。阅读链接:Nat Commun:唐北沙/蔡怀彬发现帕金森病新致病基因-DAGLB基因
23, 有望改变帕金森病药物研发模式!智能手表软件获FDA认证来源:药明康德Rune Labs近日宣布其所针对帕金森病(PD)开发的StrivePD软件生态系统已获得美国FDA的510(k)认证,用以收集通过苹果智能手表测量的病患症状数据。通过结合可穿戴科技、自行回报症状信息,与脑影像、电生理学、遗传与其他临床数据,StrivePD将使基于数据驱动的帕金森病照护管理与临床试验设计成为可能。StrivePD生态系统直接通过苹果的Movement Disorder应用程序接口(API)直接获取数据。此API将能够以耗电低的方式来测量与记录帕金森患者常见的震颤和运动障碍症状。这项认证让StrivePD有望为数万已经在日常生活中使用像是苹果智能手表这些设备的帕金森病患提供精准的临床照护和参与临床试验的机会。阅读连接:有望改变帕金森病药物研发模式!智能手表软件获FDA认证
24, Ⅱ型糖尿病与帕金森病更快进展有关来源: 神经新前沿神经新前沿Ⅱ型糖尿病(T2DM)是帕金森病(PD)发生的危险因素,但其对疾病进展的影响尚不清楚。有研究评估了T2DM对疾病进展的影响,并提示与无T2DM的PD患者相比,共患T2DM可能与运动速度更快和认知能力下降有关。为此,研究人员在MOVEMENT DISORDERS 发表了研究文章,探讨了T2DM对帕金森病各方面疾病进展的影响。该研究通过比较一系列运动和非运动症状的症状严重程度评分,来检查共病T2DM对PD进展和生活质量的影响,该研究确定T2DM是一个独立的危险因素,与最近被诊断为PD的患者更严重的运动症状、非运动症状和较差的生活质量评分相关。此外,T2DM的存在对PD的临床进程有不利影响,有助于加快运动和非运动症状的进展,并增加MCI和步态障碍的风险。 阅读链接: Ⅱ型糖尿病与帕金森病更快进展有关
25, 帕金森病患者主观认知减退的临床特征及其与情感症状的关系初探来源:中华神经科杂志帕金森病除特征性的运动症状外,还伴有多种非运动症状,认知功能障碍即为常见的非运动症状之一。近日发表在《中华神经科杂志》上的一篇研究探讨了帕金森病合并主观认知减退(SCD)患者的特点及其临床相关因素。研究结果表明,SCD在认知功能正常的帕金森病患者中很常见,与较差的认知表现、较严重的抑郁和焦虑症状之间存在关联。SCD与情感症状的关系可能比客观总体认知功能的关系更大,值得进一步研究。阅读链接:帕金森病患者主观认知减退的临床特征及其与情感症状的关系初探 26, Neurology:小 脑性共济失调和帕金森病患者的冲动性特征有哪些?来源:神经新前沿患有小脑性共济失调(CA)的人会出现冲动的行为症状,通常会导致负面的人际关系后果,对他们的生活质量产生不利影响。关于CA的冲动及其相关的行为改变,目前存在的证据有限。近日,研究人员使用Barratt冲动性来评估CA的冲动性特征采用抑郁自评量表(BIS-11),并与帕金森病(PD)患者进行比较,发现与帕金森病患者不同,CA患者的冲动是由非计划性特征驱动的。这表明,小脑和基底节可能以不同的方式控制冲动行为,小脑以一种特定领域的方式参与冲动的大脑回路。阅读链接:Neurology:小脑性共济失调和帕金森病患者的冲动性特征有哪些?
27, 适量饮酒也会导致大脑变化和认知能力下降,这与大脑铁积累有关来源:生物世界生活中我们经常听到一种说法:小酌怡情,适度饮酒有益健康。但实际上,越来越多的研究提醒我们,即使适度饮酒也会对大脑健康产生不利影响。近日,牛津大学的研究人员在 PLOS Medicine 期刊发表了研究论文。这项针对近21000人的研究显示,每周喝酒7个及以上酒精单位(1酒精单位对应10毫升酒精)与大脑中较高的铁水平有关,而大脑中的铁积累与阿尔茨海默病和帕金森病相关。该研究揭示,不存在“安全”的饮酒水平,即使适度饮酒,同样有害大脑健康。阅读链接:适量饮酒也会导致大脑变化和认知能力下降,这与大脑铁积累有关
28, 这种常见金属可能催生帕金森病?来源:学术经纬
原子力显微镜拍摄的图像显示,原纤维形式的α-突触核蛋白(左)在铜离子溶液中形成了异常的环状结构帕金森病最典型的症状之一是肌肉震颤,但早在肌肉震颤发作之前,大脑中已经出现疾病迹象。过往研究显示,过度暴露于某些生物金属可能会引发或加速帕金森病。近日,来自瑞士联邦材料科学与技术研究所与爱尔兰利莫瑞克大学的科学家们通过原子力显微镜和分子动力学模拟,以纳米级的精度,清楚地展示了人脑中的α-突触核蛋白在接触大量铜离子时,会加速形成异常的环状结构。这种环形寡聚体对细胞有着明显的破坏作用。此外,更长的纤维状结构也比在无铜溶液中出现得更早。研究人员指出,这些发现为生物金属在神经退行性疾病发展过程中的作用提供了新线索,并且可以为改善该疾病的早期发现和治疗提供机会。该研究成果发表在
ACS Chemical Neuroscience
上。
阅读链接:
这种常见金属可能催生帕金森病?
29, JCB & PNAS:科学家揭示诱发人类帕金森疾病的遗传原因来源:生物谷至少有20种不同基因的突变与帕金森疾病的发生密切相关,但科学家们仍然在研究这种疾病到底是如何引发这种严重且无法治愈的运动障碍的。近日,发表在 Journal of Cell Biology 上和 PNAS 杂志上的研究报告中,来自耶鲁大学等机构的科学家们在帕金森疾病研究上取得了新的发现。研究深入揭示了名为VPS13C蛋白的功能,该蛋白是帕金森疾病发病背后的“嫌疑分子”。VPS13C能在两个亚细胞器之间形成一座桥梁,即内质网和溶酶体之间,其能形成这两种细胞器之间脂质运输的管路。VPS13C的缺失或许会影响脂质的组成以及溶酶体的特性。阅读连接:JCB & PNAS:科学家揭示诱发人类帕金森疾病的遗传原因
30, Nature子刊: 对抗帕金森病新策略:用纳米抗体清除致病蛋白 来源:学术经纬

PFFNB2可以破坏α-突触核蛋白聚集物
在我们的大脑中,当畸形的α-突触核蛋白聚集,它们会破坏脑细胞的内部运作,导致帕金森病等由大脑损伤引发的认知障碍。理论上来说,抗体应该可以锁定α-突触核蛋白聚集物。但问题在于,它们太大了,因此很难穿透脑细胞的细胞膜。近日,来自约翰·霍普金斯大学医学院与密西根大学的研究团队在《自然·通讯》上发表了一篇新研究。该研究开发了一种能穿透脑细胞的纳米抗体,从而破坏大脑中的致病聚集物。研究团队制造了7种名为PFFNB的纳米抗体,它们可以与α-突触核蛋白聚集物结合。其中,PFFNB2与α-突触核蛋白聚集物结合的效果最好。在小鼠脑细胞和组织中,PFFNB2可以保持稳定,并且对α-突触核蛋白聚集物而不是单体具有很强的亲和力。阅读链接:Nature子刊:对抗帕金森病新策略:用纳米抗体清除致病蛋白
31, Brain:来自帕金森患者的富含α-突触核蛋白的EVs鼻内处理小鼠可导致帕金森病症状
来源:外泌体之家

来自帕金森病患者的EV鼻内给药在健康小鼠的中脑中诱导pα-突触核蛋白聚集和黑质神经变性
帕金森病的特征是错误折叠的α-突触核蛋白组成的神经元内包涵体逐渐出现,导致细胞毒性和神经死亡。最近的体外和体内研究表明,错误折叠的α-突触核蛋白可能以朊病毒样方式跨细胞传播,在健康神经元中诱导病理聚集,并通过细胞外囊泡的分泌进行传播。小细胞外囊泡(EV)在病理性α-突触核蛋白聚集中发挥着重要作用。
近日发表在 Brain 上的一篇研究中发现,来自帕金森病患者CSF的EV诱导α-突触核蛋白病理聚集。EV可以作为一种机制,将α-突触核蛋白和其他病原体扩散到健康神经元,从而引发帕金森病的症状。从帕金森病患者的脑脊液中提取的细胞外囊泡鼻内给药可以在体内传播α-突触核蛋白聚集,并在健康小鼠中引发帕金森病样症状和病理。
阅读链接:
Brain:来自帕金森患者的富含α-突触核蛋白的EVs鼻内处理小鼠可导致帕金森病症状
32, 家族性帕金森病中的α-突触核蛋白V15A变体表现出较弱的脂质结合特性来源:梅斯神经新前沿
帕金森病(PD)是仅次于阿尔茨海默病的第二种最常见的神经退行性疾病。病理表现为黑质中多巴胺能神经元的丧失以及路易氏体或路易氏神经炎,后者主要由α-突触核蛋白(α-Syn)组成。α-Syn由SNCA基因编码,该基因是第一个被确认的具有错义变异或拷贝数变异(即重复和三倍)的家族性PD致病基因。近日日本顺天堂大学的研究人员在
Movement Disorders
上发表了一篇研究,从两个独立的日本帕金森病家族的三个受影响个体中发现了p.V15A。分析表明,V15A对磷脂的亲和力降低,纤维延伸活性增加。从日本家庭中发现的V15A变体加强了V15A变体可能是患PD的一个致病变体的可能性。 该研究结果强烈表明,V15A是PD发病的一个危险因素。阅读链接:家族性帕金森病中的α-突触核蛋白V15A变体表现出较弱的脂质结合特性
33, 蓝斑损伤介导帕金森病疼痛病理机制的研究进展来源:神经疾病与精神卫生帕金森病(PD)是常见的神经系统退行性疾病,疼痛是PD常见的非运动症状。PD神经元变性影响多巴胺能、去甲肾上腺素(NE)能、5-HT、胆碱能和肽能神经元。蓝斑核先于黑质致密部的神经元丢失,蓝斑包含中枢神经系统中最大的NE能神经元群,并参与疼痛的内在控制。近日发表在《神经疾病与精神卫生》上的一篇研究综述了NE能系统对PD疼痛的调节作用。强有力的证据支持PD疾病进展过程中NE在中枢和外周的传递不足。PD患者在外周和中枢神经系统病理损伤都参与疼痛的发生机制,且各系统之间相互作用,尤其是PD外周神经病变可引发中枢敏化包括蓝斑功能的重塑,而蓝斑本身又存在病理损伤。将蓝斑-NE系统作为PD疼痛治疗的靶点有较强的科研价值,以及重要的临床应用价值和应用前景。阅读链接:蓝斑损伤介导帕金森病疼痛病理机制的研究进展
34, NEJM:2篇!遭遇滑铁卢,罗氏及渤健制药开发的单克隆蛋白药物治疗早期帕金森病无效来源:iNature聚集的 α-突触核蛋白在帕金森病的发病机制中起重要作用。针对聚集的 α-突触核蛋白的单克隆抗体prasinezumab正在研究其对帕金森病的影响。近日,罗氏制药Gennaro Pagano等人在 NEJM 发表了研究论文,在2期试验中Prasinezumab 治疗对帕金森病进展的整体或影像学测量没有有意义的影响,并且与输液反应有关。此外,渤健制药Tien Dam等团队在 NEJM 发表了研究论文,在2期试验中cinpanemab对疾病进展的临床测量和DaT-SPECT成像变化的影响与安慰剂相比在52周内没有差异。阅读连接:NEJM:2篇!遭遇滑铁卢,罗氏及渤健制药开发的单克隆蛋白药物治疗早期帕金森病无效
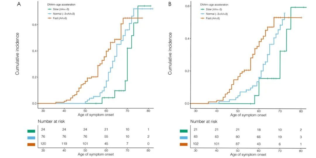
35, Movement Disorders:同济大学张明团队揭示表观遗传时钟加速与帕金森病的发病年龄有关来源:iNature
在LRRK2突变携带者中,表观遗传年龄加速与PD发病年龄关系的Kaplan–Meier 曲线衰老是神经退行性疾病的主要风险因素之一,如何评估衰老程度是一个颇具挑战性的问题。过往研究提出了表观遗传学时钟的理论。生物学年龄与实际年龄之间的差值称为表观遗传时钟加速。然而表观遗传时钟加速是否可以作为其它神经退行性疾病表型的生物标记物还不清楚。近日,同济大学医学院张明团队联合多伦多大学神经退行性疾病研究所团队,在
Movement Disorders
期刊发表了研究论文,该研究整合了3个PD人群甲基化组学数据,首次揭示了表观遗传年龄加速与帕金森发病年龄之间的关系。该研究表观遗传年龄加速可能可以作为一种稳定的衰老生物标记物在帕金森病相关的临床实验中用于评估药物的效果。阅读链接:Movement Disorders:同济大学张明团队揭示表观遗传时钟加速与帕金森病的发病年龄有关
36, Science:糖蛋白GPNMB可能是帕金森氏病风险的生物标志物来源:ScienceAAAS近日发表在 Science 上的一篇基于计算、细胞生物学和人体组织的研究将GPNMB确认为帕金森氏病(PD)的风险基因和潜在的治疗靶点。研究人员对7号染色体上的一个帕金森氏病GWAS风险位点进行了评估,并将其与跨膜蛋白“糖蛋白非转移性黑色素瘤蛋白B”(GPNMB)进行关联。研究发现,GPNMB会与aSyn相互作用,并且在细胞中,GPNMB对于纤维形式aSyn的摄取和随后的aSyn病理发展都是必要和充分的条件。这一发现表明,GPNMB可能是帕金森氏病进展的一个有价值的生物标志物。阅读链接:Science:糖蛋白GPNMB可能是帕金森氏病风险的生物标志物
37, 通过睡眠时的呼吸检测疾病...Nature子刊:人工智能为帕金森病的诊断提供了数字生物标志物来源:中国生物技术网
帕金森病(PD)是目前全球发展速度最快的疾病之一,目前为止还没有药物可以逆转或阻止该病的进展。近日,发表在
Nature Medicine
上的一项新研究中,来自麻省理工学院的研究团队开发了一个人工智能模型,仅通过读取一个人的呼吸特征就可以检测出帕金森病。该模型用于检测帕金森病、预测疾病严重程度并使用夜间呼吸(即睡眠时的呼吸特征)跟踪疾病随时间的进展。该系统以一个晚上的呼吸信号为输入,可以通过佩戴在胸部或腹部的呼吸带来采集。它从夜间呼吸中学习预测人的定量脑电图(qEEG)的辅助任务,这可以防止模型过度拟合并有助于解释模型的输出信息。到目前为止的初步证据表明,该系统可以用于临床诊断前的风险评估,人工智能可以提供传统手段上无法获得的临床见解。阅读链接:通过睡眠时的呼吸检测疾病...Nature子刊:人工智能为帕金森病的诊断提供了数字生物标志物
38, Cell Rep:跑步机锻炼或能改善帕金森疾病小鼠机体的疾病症状来源:生物谷

跑步机锻炼或能改善帕金森疾病小鼠机体的疾病症状
近日,一篇发表在 Cell Reports 上的研究报告中,来自拉什大学医学中心等机构的科学家们通过研究发现,有规律的跑步机锻炼或能帮助改善帕金森疾病小鼠模型机体的疾病症状。这项研究中发现,在不使用任何药物的情况下,利用定期的跑步机锻炼来阻断α-突触核蛋白的扩散并逆转帕金森疾病小鼠大脑中所发生的生化、细胞和解剖学变化,或许能取得积极的治疗结果。研究者指出,药物非诺贝特或能模拟跑步机锻炼在大脑中所产生的效应,这种药物通常用来帮助降低患者机体的高胆固醇和甘油三酯水平。阅读连接:Cell Rep:跑步机锻炼或能改善帕金森疾病小鼠机体的疾病症状
39, Redox Biology:张卫光课题组发现circSV2b参与帕金森病氧化应激调节的新机制来源:BioArtMED

目前确诊PD仍主要依靠患者的症状和影像学等方法,具有滞后性,且误诊率较高,探索可用于临床诊断的低侵入性新型分子标记物,解析标记物参与PD的分子机制,可以为预防PD和开发靶向药物提供理论基础。近日,北京大学基础医学院张卫光教授团队在 Redox Biology 杂志在线发表了研究论文。该研究揭示miR-5107-5p-Foxk1-Akt1轴可能是circSV2b参与PD的重要机制,而血清外泌体中circSV2b的显著变化,将使之有望成为PD诊断和治疗的一种新型生物标志物。阅读链接:Redox Biology:张卫光课题组发现circSV2b参与帕金森病氧化应激调节的新机制
40, Advanced Science:姜宏团队发现帕金森病中血浆ghrelin水平降低的中枢机制来源:BioArtMED
近日,青岛大学医学部姜宏教授团队于
Advanced Science
在线发表了研究成果。该研究利用化学遗传、逆行神经示踪等技术,揭示了帕金森病病程早期血浆ghrelin水平的降低可能与脑干迷走神经背核(DMV)胆碱能神经元损伤有关,从而将帕金森病的中枢神经系统退行性变与胃肠道功能障碍联系起来。这项研究表明,血浆ghrelin水平可能作为帕金森病中反映DMV病变的一个外周指标,为最终将ghrelin开发成为一种新型帕金森病早期诊断生物标记物奠定基础,从而为反映帕金森病中枢病理改变提供简便可行的临床检测手段。阅读链接:Advanced Science:姜宏团队发现帕金森病中血浆ghrelin水平降低的中枢机制
41,
帕金
森病的运动和认知代谢网络之间的关系来源:梅斯神经新前沿
尽管特发性帕金森病(iPD)患者的症状表现和疾病进展各不相同,但基本的组织病理学变化和所涉及区域的时间顺序是相对定型的。iPD与两个不同的代谢网络有关,即PD相关模式(PDRP)和PD相关认知模式(PDCP),它们分别与该疾病的运动和认知表现有关。近日发表在
Movement Disorders
上的研究评估了不同病程的iPD患者的多个样本的PDRP优势并计算了这些数值的差异,被称为delta。通过delta量化的PDRP优势,可以检测出PD患者的功能障碍从运动网络向认知网络的扩散。
阅读链接:
帕金森病的运动和认知代谢网络之间的关系
42, Environment International:周舟课题组在发文首次揭示百草枯暴露与帕金森病发生的关联 来源:Bioon细胞
百草枯(PQ)是世界上使用最广泛的除草剂之一,目前它仍是许多发展中国家普遍用于提高农业产量的手段。近年来,人类特别是老龄人口中帕金森病发病率不断增高,百草枯等农药的神经毒性与这类神经退行性疾病的关联已成为环境医学关注的新热点,探究百草枯暴露诱发帕金森病的机制与关联靶点至关重要。近日,浙江大学公共卫生学院周舟团队在
Environment International
杂志发表了研究论文。首次揭示了百草枯通过引起中脑区脂质代谢紊乱和炎症,诱导帕金森病发生,这一工作揭示了人群水平控制神经毒性环境污染物暴露对于降低人群患帕金森病风险的重要性。阅读链接:Environment International:周舟课题组在发文首次揭示百草枯暴露与帕金森病发生的关联
43, Nature:杨扬等揭示帕金森综合症α-突触核蛋白聚集的结构基础来源:BioArt
帕金森氏症(PD)是仅次于阿尔茨海默症的第二大神经退行性疾病。由于α-突触核蛋白(α-synuclein)以路易氏体的形式堆积,PD被视为一种突触核蛋白病变,这和阿兹海默症当中Tau蛋白堆积形成的神经纤维纠缠和β-淀粉样蛋白板块截然不同。近日,英国剑桥大学的研究团队在
Nature
杂志上发表了文章。研究人员通过对6例帕金森氏症,帕金森病性失智症,路易氏体失智症病人的脑组织研究,揭示了α-突触核蛋白细丝结构特征,这些疾病具有相同的原纤维“路易折叠”核心结构。另外,路易折叠与体外重组α-synuclein结构有一些相似之处。此项研究有助于帕金森氏症及相关疾病的发病机制的探索和治疗药物的研发。阅读链接:Nature:杨扬等揭示帕金森综合症α-突触核蛋白聚集的结构基础
44,PNAS: 运动激素可以阻止帕金森病的症状来源:阿尔茨海默病帕金森病是一种神经系统疾病,会导致人们失去对肌肉和运动的控制。长期以来,人们发现耐力运动可以缓解帕金森病的症状,但原因不明。过往研究发现,运动、帕金森病和鸢尾素之间有联系,一种称为鸢尾素肽的蛋白质被释放到血液中,并随着耐力运动而增加。近日,约翰·霍普金斯医疗集团研究人员在 PNAS 上发表的一篇新研究发现,鸢尾素可防止α-突触核蛋白团块的积累及其相关的脑细胞死亡。运动激素可将帕金森病相关的α-突触核蛋白水平降低50%至80%。研究小组还证明,鸢尾素还可以通过溶酶体加速α-突触核蛋白的运输和降解。阅读链接:PNAS:运动激素可以阻止帕金森病的症状
45, 帕金森病患者血浆中糖磷脂的变化与葡萄糖酰甘油水平无关来源:梅斯神经新前沿帕金森病(PD)是全球第二大最常见的神经退行性疾病。脂质改变,特别是糖磷脂(GSLs)的变化,最近在PD发病机制中获得了关注。编码葡萄糖酰甘油酰胺(GlcCer)降解酶(GCase)的GBA杂合子突变被确定为PD最常见的遗传风险因素,突出了脂质的作用。GBA1突变携带者增加PD风险的机制尚不完全清楚。近日发表在 Movement Disorders 上的研究发现,在有和没有GlcCer变化的患者中检测到血浆中多种GSL异常,表明脂质平衡有更广泛的转变。GSL在散发性PD中的作用,独立于GBA1相关疾病,需要更广泛的检查和进一步的澄清。阅读链接:帕金森病患者血浆中糖磷脂的变化与葡萄糖酰甘油水平无关
46, 多系统萎缩症和帕金森病中的羟色胺转运体成像有何区别?来源:梅斯神经新前沿
尾部脑干5-羟色胺的功能障碍被认为在帕金森病(PD)的早期发生。多系统萎缩(MSA)是一种帕金森病,在几个神经递质投射系统中都有神经元细胞丢失。MSA有两种临床亚型:帕金森亚型(MSA-P)和小脑亚型(MSA-C)。近日密歇根大学Kelvin L. Chou等人对18名MSA患者、23名PD患者和16名健康对照者进行了5-羟色胺转运体PET成像,以探索脑干、皮层下和皮层相关区域的差异。研究发现与帕金森病患者相比,MSA患者的脑干和一些前脑皮层下区域的5-羟色胺缺失更为严重,并且与运动障碍的严重程度显示出MSA特有的相关性。阅读连接:多系统萎缩症和帕金森病中的羟色胺转运体成像有何区别?
47, 帕金森病伴发疲劳的识别和管理研究进展来源:中华神经科杂志疲劳是帕金森病患者最常见、最具致残性的非运动症状之一,由于既往缺乏对帕金森病伴发疲劳严格统一的定义和明确的量化标准,可能导致不同的研究结论。近日发表在《中华神经科杂志》上的一篇研究通过对帕金森病伴发疲劳的定义和分类、流行病学和影响因素、临床评定、治疗管理措施等进行综述,为临床帕金森病伴发疲劳患者的识别和管理提供参考。阅读链接:帕金森病伴发疲劳的识别和管理研究进展
48, Cell Reports: 李丹/刘聪合作发现介导帕金森病α-syn纤维引发神经炎症的小胶质细胞受体来源:小柯生命

RAGE介导α-syn纤维引发细胞炎症反应的示意图
α-Syn纤维聚集是PD的主要病理标志。随着PD病程的发展,α-syn病理性纤维能够通过神经元表面的膜受体在神经元之间进行传播与扩散。同时,α-syn纤维聚集能够诱导小胶质细胞的激活与炎症反应。近日,上海交通大学Bio-X研究院李丹教授团队与中科院上海有机化学研究所交叉中心刘聪研究员团队在 Cell Reports 上发表了一篇新研究。研究发现,α-syn病理性纤维通过直接结合小胶质细胞表面的RAGE 受体来诱导细胞炎症反应,揭示了小胶质细胞膜受体通过结合α-syn病理纤维引发细胞炎症反应的分子机制。该工作为通过抑制神经炎症来治疗帕金森病提供潜在的新靶点。阅读链接:Cell Reports:李丹/刘聪合作发现介导帕金森病α-syn纤维引发神经炎症的小胶质细胞受体
49, npj Parkinson’s Disease:由A53T a-Syn寡聚体激活的小胶质细胞通过外泌体诱导神经毒性来源:外泌体之家帕金森病(PD)是一种以黑质多巴胺能神经元选择性、渐进性大量变性缺失为主要病理改变的神经系统变性疾病。近日,同济大学徐俊教授团队和上海市第八人民医院陈旭教授团队在 npj Parkinson’s Disease 上发表了文章,阐明了由α-Syn激活的小胶质细胞通过外泌体增加CTSL的胞外释放,并介导P2X7受体诱导神经毒性这一机制。阅读链接:npj Parkinson’s Disease:由A53T a-Syn寡聚体激活的小胶质细胞通过外泌体诱导神经毒性
50, 葡萄糖苷酶变体携带者和家族性帕金森病的性别频率差异来源:梅斯神经新前沿

帕金森病(PD)的发病率存在着持续的性别差异,男性的发病率是其1.4倍。与性别有关的频率差异还没有得到很好的理解,男性和女性之间的保护性和有害性因素的贡献也不尽相同。然而,对全基因组关联研究(GWAS)数据的评估并没有发现男性和女性PD患者的常染色体显性位点的遗传性估计有差异,而且关于女性PD患者的家族史是否增加的数据是相互矛盾的。近日一项发表在 Movement Disorders 上的研究评估了GBA变体和/或LRRK2 G2019S携带者的性别分布,以及由GBA PD、LRRK2 PD和没有遗传变体的PD组成的队列中潜在的基因相关的家族史性别差异。研究表明,GBA PD总体上存在的男性性别优势在GBA变异的严重程度上并不一致,而在严重的GBA变异携带者中存在着女性性别优势。因此,对PD的研究和试验设计应考虑性别上的差异,包括不同GBA变异的严重程度。阅读链接:葡萄糖苷酶变体携带者和家族性帕金森病的性别频率差异
51, 健康饮食和运动与帕金森病死亡率降低相关来源:NEJM医学前沿近日发表在 NEJM Journal Watch 上的一篇研究发现,PD患者的饮食质量和运动水平提高可能与死亡风险降低相关。该分析表明,PD患者的健康饮食模式和活跃生活方式与较低死亡率相关。阅读链接:健康饮食和运动与帕金森病死亡率降低相关
52, 皮肤细胞成功转化为神经元!这对神经元丧失的帕金森病患者意味着什么?来源:生物探索

由于缺乏适当的模型系统特别是能捕捉到年龄要素的模型系统,医学对PD发病机制的理解不足,目前尚不清楚PD的发生和发展,也没有治愈的方法。近日加拿大蒙特利尔大学、英国剑桥大学和瑞典隆德大学研究团队在 Stem cell Reports 发表了研究成果。研究结果表明从成*皮人**肤成纤维细胞中可生成功能性神经元,这些神经元保留了年龄特异性,并可用作细胞模型来研究与PD相关的病理学。与iPSC建模相比,该模型的劳动强度和成本效益要低得多。阅读链接:皮肤细胞成功转化为神经元!这对神经元丧失的帕金森病患者意味着什么?
53, 葡萄糖苷酶变体携带者和家族性帕金森病的性别频率差异来源:梅斯神经新前沿
帕金森病(PD)的发病率存在着持续的性别差异,男性的发病率是其1.4倍。与性别有关的频率差异还没有得到很好的理解,男性和女性之间的保护性和有害性因素的贡献也不尽相同。葡萄糖苷酶变体(GBA PD)是导致PD的主要遗传因素,其在PD中的性别分布有争议。近日发表在
Movement Disorders
上的一篇研究发现,GBA PD总体上存在的男性性别优势在GBA变异的严重程度上并不一致,而在严重的GBA变异携带者中存在着女性性别优势。因此,对PD的研究和试验设计应考虑性别上的差异,包括不同GBA变异的严重程度。阅读连接:葡萄糖苷酶变体携带者和家族性帕金森病的性别频率差异
54, ACS Chem Neurosci:开发多巴胺受体D2光亲和探针以确定帕金森病药物靶点来源:王初课题组
多巴胺受体有5个亚型,D1-D5,分为2个家族:D1-like (D1和D5),以及D2-like(D2-4),其中D1和D2受体是人类中枢神经系统所有多巴胺受体中表达密度最高的。其中研究最深入、在医学上最重要的多巴胺受体是D2 (DRD2),它是精神性疾病和帕金森氏症等疾病治疗干预的重点。近日,来自锡拉丘兹大学的Rachel C. Steinhardt教授课题组以DRD2的两个激动剂ropinirole和pramipexole为框架,开发了一种探针,既能通过光亲和标记与DRD2共价结合,又能提供用于检测或亲和纯化的化学处理。这些探针结合了帕金森网络中的非规范化靶向蛋白,以及逆行内源性*麻大**素信号网络、神经元一氧化氮合酶、毒蕈碱乙酰胆碱受体M1、GABA受体和多巴胺受体D1信号网络,或为治疗提供新的靶点。阅读链接:ACS Chem Neurosci:开发多巴胺受体D2光亲和探针以确定帕金森病药物靶点
55, Ageing Res Rev:外泌体生物标记物的鉴定及其诊断帕金森病的最佳检测方法来源:外泌体之家
外泌体生物标记物的的主动靶向性和将其货物从母细胞运送到受体细胞的特异性受到了广泛关注。目前,帕金森病的临床诊断主要基于临床医生的神经心理学检查和运动症状检查。但由于其他神经退行性疾病的诊断标准重叠,这种诊断方法并不准确。外泌体在帕金森病中有差异表达,外泌体的类型和内容的组合被用作生物标志物。来自的韩国仁济大学的研究人员系统地回顾和分析了此前的研究数据,旨在为识别的生物标志物提供一种最佳的外泌体分离方法,得到了外泌体的最佳类型、来源以及PD诊断的最佳蛋白质定量方法。这项meta分析表明,血液中L1CAM外泌体中α-Syn蛋白经ExoQuick试剂盒分离、ELISA定量检测可用于PD的诊断。阅读链接:Ageing Res Rev:外泌体生物标记物的鉴定及其诊断帕金森病的最佳检测方法
56, Phenomics:parkin基因突变的早发帕金森病患者脑内PET影像表型特点来源:人类表型组计划
与GU-EOPD患者相比,PRKN-EOPD患者中有更强的葡萄糖代谢连接性帕金森病(PD)是一种以运动障碍为主要表现的常见老年神经退行性疾病。其中,起病年龄小于50岁的患者被定义为早发型帕金森病(EOPD),其发病往往受到遗传因素的影响。Parkin基因突变(PRKN)引起的EOPD(PRKN-EOPD)患者往往倾向于有相对良性的病程,但是具体机制还不清楚。近日,复旦大学附属华山医院王坚教授/左传涛教授团队发现,PRKN-EOPD相较GU-EOPD有更对称且更严重的多巴胺功能损害,以及皮层和皮层下区域显著的高代谢。PRKN-EOPD在对侧SMA的代谢增强,也展示出更强的脑网络连接;这种现象在GU-EOPD患者中并不存在。该研究提示对侧SMA区的代谢升高或是导致多巴胺严重损害的PRKN-EOPD患者具有相对良性病程的潜在代偿机制。阅读链接:Phenomics:parkin基因突变的早发帕金森病患者脑内PET影像表型特点
57, Movement Disorders: 犬嗅在帕金森病辅助诊断中的价值
来源:Bioon细胞
近年来,有报道提示帕金森病患者可能存在特殊的气味。近日,中南大学湘雅医院动物实验中心高常青博士团队与中南大学湘雅医院神经内科郭纪锋教授团队合作利用犬嗅开展了一项多中心、前瞻性、双盲临床试验。
研究发现犬嗅辨别帕金森病的敏感性和特异性均较高,且不受是否服用抗帕金森病药物的影响,对帕金森病的早期亦有一定的鉴别能力。通过对嗅辨犬鉴别帕金森病的临床转化有可能开发具有临床应用前景的非侵入性的、快速的、经济有效的方法。
阅读链接:
Movement Disorders:犬嗅在帕金森病辅助诊断中的价值
58, Nature Communication:首次发现,帕金森病的异常蛋白构建离不开这种分子来源:学术经纬

脂质对原纤维(绿色)的结构有重要支持作用
帕金森病目前困扰着全球超过600万的患者,而该病的显著特征就是大脑中会出现异常的α-突触核蛋白团块。α-突触核蛋白与其他蛋白组成基础一样,也是由长链氨基酸构成,同样要求氨基酸正确折叠才能发挥功能。如果这一过程出现问题,它们就会堆叠形成原纤维。过往研究表明,α-突触核蛋白通过与脂质膜结合并参与囊泡运输,这对传递信使分子是必不可少的。为此,研究人员借助冷冻电子显微镜观察了脂质与原纤维表面结合的过程,发现在原纤维的形成过程中,会有蛋白不断从脂质膜中获取脂质,然后将其转移到原纤维上,最后形成完整的原纤维结构。阅读链接:Nature Communication:首次发现,帕金森病的异常蛋白构建离不开这种分子
59, 血管周间隙和帕金森关系密切来源:梅斯神经新前沿血管周围空间(PVS)是大脑血管周围充满液体的空间,是大脑液体和淋巴废物清除系统的重要通道。在神经退行性疾病患者和研究淀粉样蛋白清除的小鼠模型中,有临床和前临床证据表明,磁共振成像(MRI)上可见的PVS是脑小血管疾病和糖液清除功能障碍的标志。近日发表在 Movement Disorders 上的一篇研究发现,小的BG-PVS与日常生活中的运动和非运动方面的经验有关,而大的BG-PVS则与运动症状和运动并发症有关。BG-PVS与认知能力不相关。 阅读链接: 血管周间隙和帕金森关系密切
60, 治疗帕金森病的全新模式!CRISPR系统单次治疗增加多巴胺神经元
来源:药明康德
近日,Seelos Therapeutics公司宣布,其在研疗法SLS-004在帕金森病的动物模型中,单剂治疗降低α突触核蛋白(α-synuclein)的生产,并且在动物模型中导致酪氨酸羟化酶(TH)阳性多巴胺能神经元的增加。帕金森病患者中脑的TH+多巴胺能神经元的死亡是导致帕金森病临床症状的主要原因之一。
SLS-004是一种创新的表观遗传学基因编辑疗法,通过调节DNA甲基化来调控编码α突触核蛋白的SNCA基因的表达。SLS-004使用CRISPR-dCas9引导的DNA甲基转移酶3A(DNMT3A),在SNCA基因内含子1的特定位置提高DNA甲基化。从而精准地降低SNCA的表达。此前在体外实验中,SLS-004可导致α突触核蛋白水平降低~40%。
阅读连接:
治疗帕金森病的全新模式!CRISPR系统单次治疗增加多巴胺神经元
61,JPD: 人格相关测试,有助于帕金森病基本分类来源:梅斯神经新前沿帕金森病(PD)是一种异质性的神经杆件退行性疾病,其运动和非运动表现的差异性比以前认为的要大。神经精神症状是共同的非运动症状,是低多巴胺和高多巴胺能行为谱的两端。低多巴胺能症状与单胺能神经递质系统的退化有关,而高多巴胺能症状则是由于抗帕金森病药物引起的脉冲式多巴胺能刺激和敏感化。近日,葡萄牙Centro Hospitalar Lisboa Ocidental的Bruna Meira等人,使用Cloninger的生物社会模型,评估了193名新发PD患者的个性,发现了3个不同的集群:神经精神表型、运动表型和良性表型。该研究认为早期帕金森病患者的性格使我们能够识别3种患者的表型。阅读链接:JPD:人格相关测试,有助于帕金森病基本分类
62,专访 瑞金医院神经内科科主任刘军:帕金森病自体干细胞治疗项目正式启动,探索iPSC疗法治疗帕金森病的“希望之门”
来源:医麦客
在老年人中常见的神经系统变性疾病中,帕金森病(Parkinson’s disease,PD)一度被认为是“沉默的杀手”。罹患该病的患者常伴有颤抖、四肢僵硬、动作迟缓、缺乏平衡感等多项症状,对生活质量造成了严重的影响。据统计,当前我国帕金森病患者群体约400万,60岁以上人群中,发病率约2%。而现有治疗手段却只能改善症状,但不能阻止病情的进展,也无法治愈疾病。
正是基于该现状,瑞金医院神经内科刘军主任领衔筹划了“上海市衰老与退行性疾病学会帕金森病与运动障碍分会”。学会成立初衷便在于集专家专人之力,站在帕金森病与运动障碍疾病研究先行者们的肩膀上继往开来,为广大患者解除病痛,为社会缓解负担。刘军主任在学会成立的发言中表示,帕金森病与运动障碍分会的创立将成为成员之间学术交流的平台,也是促进相关研究从基础到临床的转化平台。学会成立当天,各级领导、业内专家及学会会员济济一堂,共襄义举。瑞金医院院方宣布帕金森病自体干细胞治疗项目正式启动。
阅读链接:
瑞金医院神经内科科主任刘军:帕金森病自体干细胞治疗项目正式启动,探索iPSC疗法治疗帕金森病的“希望之门”
63, 【运动障碍】帕金森病患者不同睡眠障碍主诉与脑灰质体积的相关性研究来源:中华神经科杂志睡眠障碍是帕金森病(Parkinson′s disease)最常见的非运动症状之一,患病率可达60%~98%,严重影响患者的生活质量。帕金森病的睡眠障碍主要包括失眠、日间过度嗜睡(excessive daytime sleepiness,EDS)、快速眼球运动期睡眠行为障碍(rapid eye movement behavior disorder,RBD)、不宁腿综合征(restless leg syndrome,RLS)、睡眠呼吸暂停、周期性肢体运动(periodic limb movement,PLMS)、噩梦/幻觉等。既往研究发现伴睡眠障碍的帕金森病患者存在脑灰质结构的改变,但结论尚缺乏一致性,且对于不同睡眠域与脑结构改变的相关性研究较少,其病理生理机制亦不清楚。 基于体素的形态学分析(voxel-based morphometry,VBM)方法能够客观、定量地检测出脑灰质体积,具有较高的重复性。通过该方法能够探究帕金森病睡眠障碍与脑灰质结构改变的相关性,加强对其病理机制的理解。Radziunas等证实帕金森病患者夜间幻觉与基底节区的灰质体积减小明显相关,且帕金森病患者恶梦症状与边缘系统和额叶白质纤维改变具有相关性。而帕金森病夜尿症状主要与广泛的白质改变和中央前回及后回的皮质厚度变薄有关。Niccolini等也发现帕金森病患者丘脑体积与其非运动症状中睡眠/疲乏评分呈负相关。我们采用VBM方法探究帕金森病患者和健康对照的脑灰质体积改变,并分析帕金森病患者不同睡眠障碍主诉与脑灰质结构改变的相关性。
阅读链接:
【运动障碍】帕金森病患者不同睡眠障碍主诉与脑灰质体积的相关性研究
64, 重视多模态磁共振成像技术在帕金森病临床研究中的应用
来源:中华神经科杂志
随着磁共振成像(MRI)影像学技术的发展,特别是超高场强MRI、新型扫描序列和脑连接组学分析技术的研发与应用,MRI技术在帕金森病的诊断和鉴别诊断、监测疾病进展、评测疗效、指导治疗策略、研究病理生理机制等方面日益显示其独特的临床应用前景、指导意义和科学价值。应用MRI技术,有望实现帕金森病病变的可视化。
近日发表在《中华神经科杂志》上的一篇研究提出了一系列帕金森病影像学标志物,在帕金森病的诊断和鉴别诊断、监测疾病进展、机制研究和指导治疗等方面取得了显著进展,显示出良好的应用前景和科学价值。
阅读链接:
重视多模态磁共振成像技术在帕金森病临床研究中的应用
65, 帕金森病患者不同睡眠障碍主诉与脑灰质体积的相关性研究来源:中华神经科杂志近日发表在《中华神经科杂志》上的一篇文章探讨了伴与不伴睡眠障碍的帕金森病患者脑灰质体积的改变特征及不同睡眠障碍主诉与患者临床情况及脑灰质体积之间的相关性。研究发现,睡眠障碍是帕金森病患者常见的非运动症状,与其焦虑抑郁状态、非运动症状及生活质量相关。伴有睡眠障碍的帕金森病患者存在多个脑区的灰质体积改变,可能与其睡眠质量、夜间不宁状态、夜尿及白天过度嗜睡症状相关。阅读链接:
帕金森病患者不同睡眠障碍主诉与脑灰质体积的相关性研究
66, Phenomics:校正年龄和性别相关的脑葡萄糖变化单独评估疾病相关的代谢,改善帕金森综合征鉴别诊断
来源:人类表型组计划
近日,复旦大学附属华山医院左传涛教授/刘丰韬副主任医师团队、瑞士伯尔尼大学小岛医院Kuangyu Shi教授团队该研究比较了三种基于脑葡萄糖代谢正电子发射断层显像([18F]FDG PET)的代谢指标(校正年龄性别Z值AGAZ)评分、常规标准摄取值比值(SUVR)和疾病相关脑代谢模式表达值)用于帕金森综合征的鉴别诊断效能。
该研究提出的AGAZ评分通过校正年龄和性别相关的脑代谢变化进一步提高了基于脑[18F]FDG PET的帕金森综合征的鉴别诊断效能,尤其是在MSA和PSP的女性患者中。AGAZ评分将有助于帕金森综合征的早期诊断和鉴别诊断,辅助以性别为导向的靶向干预措施的发展,并启发基于图像的诊断方法在其他神经退行性疾病中的优化。
阅读链接:
Phenomics:校正年龄和性别相关的脑葡萄糖变化单独评估疾病相关的代谢,改善帕金森综合征鉴别诊断
67, JAMA Network Open: “生活带点绿”竟能降低痴呆症、帕金森病风险!
来源:医学新视点
神经系统疾病是全球导致残疾的主要原因,也是全球导致死亡的第二大原因。近日一篇研究发现,生活在公园、河流分布比例较高的地区似乎能减缓神经系统疾病,如阿尔茨海默病、帕金森的进展风险。
这项研究基于近6170万受试者超15年的随访数据,证实自然环境因素在预防神经系统疾病方面具有显著的保护性作用。对于年龄较大的人群而言,周围环境越“绿”,他们因神经系统疾病住院的风险就越低。
阅读链接:
JAMA Network Open:“生活带点绿”竟能降低痴呆症、帕金森病风险!
68, 赖欣怡团队在npj Parkinson’s Disease发文,揭示脑类淋巴系统在帕金森病病程进展中的作用来源:浙江大学双脑中心

2022年12月21日,浙江大学双脑中心、浙江大学医学院系统神经与认知科学研究所/医学院附属第二医院赖欣怡教授团队,联合医学院附属第二医院张宝荣教授团队和医学院附属邵逸夫医院吕文主任医师团队,在Nature合作期刊npj Parkinson’s Disease杂志上发表了最新研究成果“Diffusion along perivascular spaces as marker for impairment of glymphatic system in Parkinson’s disease”,揭示帕金森病(Parkinson’s disease, PD)患者的脑类淋巴系统功能受损,且受损程度随着疾病病程进展增加,为脑内淋巴系统在PD发生的病理生理机制提供了新的证据,对PD的病程评估提供重要的参考依据。阅读链接:赖欣怡团队在npj Parkinson’s Disease发文,揭示脑类淋巴系统在帕金森病病程进展中的作用
69, 【综述】帕金森病重要致病基因致线粒体功能损伤的机制研究进展来源:中华神经科杂志帕金森病是一种严重危害中老年人健康、以黑质-纹状体多巴胺能神经元退行性损伤为主要病理特征的神经退行性疾病。由于其影响因素众多、致病的生物学机制复杂,截至目前临床仍缺乏针对帕金森病的有效治疗手段,相关研究一直是该领域的热点。近年来,多数关于帕金森病的报道共同提示其发生发展与线粒体功能损伤有关,而线粒体功能损伤常常受到复杂基因调控的影响。全基因组关联研究证明,单基因帕金森病基因位点与线粒体功能损伤相关。关于帕金森病致病基因如何调控线粒体功能损伤,进而影响神经元生理功能,最终导致帕金森病发生,目前各类研究尚无统一认识。文中围绕帕金森病重要致病基因致线粒体功能损伤的生物学机制,对既往的相关研究进行综述,以求为帕金森病致病机制的研究提示方向,也为帕金森病的线粒体靶向治疗策略的开发提供理论基础。阅读链接:【综述】帕金森病重要致病基因致线粒体功能损伤的机制研究进展
70,Nature: 为治疗帕金森病带来新方法,北大校友发现大脑控制运动的“刹车”机制,揭示腺苷调节神经通路的新机制
来源:DeepTech深科技
大脑基底神经节之一的纹状体,尤其是背外侧纹状体,对于运动的产生和调节,发挥着至关重要的作用。背外侧纹状体主要由两种神经元组成:一种是“直接通路”神经元,可以促进动作的表达;另一种是“间接通路”神经元,可以抑制不想表达的动作。在这两种神经元中,都包含着蛋白激酶 A,这是一种负责催化蛋白质磷酸化过程的酶。此外,多巴胺对于这两种神经元的调控,主要依赖对于两种神经元中蛋白激酶 A 的调节。
近日,美国俄勒冈健康与科学大学Vollum研究所马磊博士和所在团队,通过在体研究发现:和经典理论一致的是,激活多巴胺神经元之后,确实可以增加蛋白激酶 A 在“直接通路”神经元中的活动。但是,与目前理论不同的是,直接激活多巴胺神经元,并不会降低“间接通路”神经元中蛋白激酶 A 的活动。并且,和目前理论完全相悖的是,小鼠运动会直接增强、而不是降低间接通路神经元中蛋白激酶 A 的活动。
阅读连接:
Nature:为治疗帕金森病带来新方法,北大校友发现大脑控制运动的“刹车”机制,揭示腺苷调节神经通路的新机制
71, 帕金森病重要致病基因致线粒体功能损伤的机制研究进展
来源:中华神经科杂志
帕金森病是一种严重危害中老年人健康、以黑质-纹状体多巴胺能神经元退行性损伤为主要病理特征的神经退行性疾病,截至目前临床仍缺乏针对帕金森病的有效治疗手段。
近日一篇文章围绕帕金森病重要致病基因致线粒体功能损伤的生物学机制,对既往的相关研究进行综述,以求为帕金森病致病机制的研究提示方向,也为帕金森病的线粒体靶向治疗策略的开发提供理论基础。
阅读链接:
帕金森病重要致病基因致线粒体功能损伤的机制研究进展
72, 帕金森患者纷纷发来信息:这项成果啥时候临床?
来源:中国科学报
帕金森病是由中脑黑质多巴胺能神经元死亡,导致纹状体多巴胺分泌减少所引起的。因此缺啥补啥,当前临床上采用的药物治疗方法,主要是口服L-左旋多巴胺。但口服会导致几乎99%的该物质在血液系统里被代谢掉,只有约1%能进入大脑发挥作用。近日,昆明理工大学灵长类转化医学研究院李天晴教授、季维智院士团队在 npj Parkinson's Disease 上发表了一篇新研究。
研究人员把3个特定基因——TH、GCH和AADC转入一个细胞系里,让这个细胞系可以表达多巴胺神经递质,接着将其注射进患有帕金森病的恒河猴体内。两周后,这只本已肌肉僵直、整天趴在笼子里的猴子竟然逐渐挺起身子,能自己抓东西吃了。他们后来又陆续为另外8只猴子进行了注射。这些猴子原有的帕金森病症状都得到了改善,而且随着时间推移,它们与健康猴的差异越来越小。更值得一提的是,经过漫长的5年(相当于人类寿命的22年左右)后,治疗效果在这些猴子身上依然显著。
阅读连接:
帕金森患者纷纷发来信息:这项成果啥时候临床?
73, Sci Trans Med:c-Abl*制剂抑**IkT-148009可抑制帕金森病小鼠模型的神经变性
来源:BioArtMED
帕金森病(PD)是除了阿尔兹海默症之外最常见的神经退行性疾病,针对PD动物模型的研究显示Abelson 酪氨酸激酶(c-Abl)可以磷酸化α-突触核蛋白Y39位点及Parkin蛋白的Y143位点,Parkin的失活会导致下游致病性底物PARIS和AIMP2的上调,继而引起神经元中的parthanatos(PARP-1激活的程序性细胞死亡形式)和线粒体生物发生丧失。
近日,来自约翰霍普金斯大学医学院的Valina L. Dawson团队等多个团队构建了c-Abl*制剂抑**库并从中筛选出可以穿过血脑屏障的IkT-148009,在遗传性和散发性PD小鼠模型中,均能将c-Abl拉到基线水平,保护多巴胺能神经元免于退化,且能降低α-突触核蛋白病理学特征,这些发现提示IkT-148009可能具备作为PD缓解疗法的潜力。
阅读连接:
Sci Trans Med:c-Abl*制剂抑**IkT-148009可抑制帕金森病小鼠模型的神经变性
74, Research:一种超小型配位聚合物通过缓解炎症实现对帕金森病疾病的有效治疗
来源:Research科学研究

近日,上海交通大学杨宇课题组与广州中医药大学陈桐楷课题组合作开发一种由Fe3+和姜黄素配位组装的超小型聚合物(Fe-Cur NCPs),该聚合物可以有效透过血脑屏障,通过缓解氧化应激、线粒体功能障碍和中脑和纹状体炎症状况,实现对帕金森病疾病的治疗。
阅读连接:
Research:一种超小型配位聚合物通过缓解炎症实现对帕金森病疾病的有效治疗
75, 帕金森病外周免疫机制研究进展
来源:中华神经科杂志
帕金森病是常见的老龄相关中枢神经系统神经退行性疾病,其发病机制为遗传易患因素、环境风险因素共同作用下的一系列病理生理变化。近年研究显示中枢神经系统以外的部位和机制,特别是免疫炎性反应等可能在帕金森病发病过程中起重要作用。
近日发表在《中华神经科杂志》上的一篇文章对目前已有的帕金森病外周免疫炎症机制研究结果进行综述,初步探讨其在帕金森病发病过程中的作用。综合目前证据表明,炎性和外周免疫系统在帕金森病的发病过程中起重要作用,其中小胶质细胞激活和外周T淋巴细胞反应可能是关键环节,而B淋巴细胞、单核细胞等的作用尚不明确。免疫炎症调节治疗为延缓帕金森病进展提供了可能的靶点
阅读链接:
帕金森病外周免疫机制研究进展
76, JACS:帕金森病致病蛋白聚集体与受体识别的构象动力学研究
来源:X-MOL资讯

近日,中国科学院上海有机化学研究所交叉中心的刘聪团队与中国科学技术大学生命科学学院项晟祺团队合作,通过利用以非灵敏核的极化转移增强为基础(INEPT-based)的固态核磁1H检测技术和冷冻电镜技术,首次在原子水平表征了帕金森病致病蛋白α-syn病理性纤维高度柔性的末端区域(TRs)的动态构象,并发现TRs在结合介导其细胞间病理传播的关键受体LAG3过程中,经历了显著的构象变化,并同时引起纤维核心区的构象重排。
该工作展现了有机结合固态核磁共振技术与冷冻电镜技术对于探究病理蛋白自组装聚集过程中的构象变化及聚集体与底物互作研究中的重要意义;为系统研究病理蛋白聚集体的结构与毒性在方法学上提供了新的手段与策略。
阅读链接:
JACS:帕金森病致病蛋白聚集体与受体识别的构象动力学研究
77, Neurology:帕金森病患者脑脊 液葡萄糖脑苷酶活性与痴呆发病风险的关系
来源:梅斯神经新前沿
葡萄糖脑苷酸酶基因(GBA)突变是帕金森病(PD)和PD痴呆(PDD)的常见危险因素,并导致溶酶体酶葡萄糖脑苷酸酶(GCase)活性降低。近日一项研究发现新诊断的PD患者脑脊液GCase活性是否发生改变,并与未来痴呆的发展有关。这项研究提供了 III 类证据,即在 PD 诊断时脑脊液 GCase 活性降低与 PDD 后期发展的风险增加有关。
阅读连接:
Neurology:帕金森病患者脑脊液葡萄糖脑苷酶活性与痴呆发病风险的关系
78, JAMA Neurology:抗癫痫药物与帕金森病发病的相关性研究
来源:神经精神界
帕金森病的发病可能与癫痫相关,但机制尚未明确。此外,由于癫痫患者需要长期服用抗癫痫药物(AEDs),有人指出AEDs的使用,而非癫痫本身,可能直接增加特发型PD的发病风险,但尚未得到基础或临床研究的支持。近日,英国伦敦大学玛丽皇后学院Daniel Belete等首次揭示了常用AEDs和PD的关系。
研究发现使用AEDs与PD发病之间存在关联,关联程度随着AEDs使用数量和处方数量的增加而增加。研究使用巢式病例对照设计纳入了1433例PD病例患者和8598例匹配对照,观察到拉莫三嗪、左乙拉西坦和丙戊酸钠的使用与PD发病相关,在调整癫痫诊断后,丙戊酸钠与PD发病之间的相关性仍然存在。
阅读链接:
JAMA Neurology:抗癫痫药物与帕金森病发病的相关性研究
79, 中国帕金森病消化道症状管理专家共识
来源:中华神经科杂志
消化道症状是帕金森病常见的非运动症状。近年来帕金森病消化道症状的基础与临床研究均有新进展,尤其是肠道菌群参与帕金森病发病机制的研究,使帕金森病消化道症状日益受到重视。为更好地指导我国医师的临床实践,基于当前的循证医学证据,制订了《中国帕金森病消化道症状管理专家共识》。
该专家共识旨在通过系统评价近年来国内外发表的帕金森病消化道症状领域相关循证医学研究证据,进一步规范我国帕金森病消化道症状的诊断治疗和全程管理。
阅读链接:
中国帕金森病消化道症状管理专家共识
80, J Parkinsons Dis:常见干洗剂被发现与帕金森病有关
来源:科研圈
在过去的100年里,三氯乙烯(TCE)一直被用于无因咖啡、金属脱脂和衣物干洗。TCE污染了美国无数的场所,有挥发性的TCE还容易在不知不觉中蒸发并进入人们的家庭、学校和工作场所。近日,一个国际研究团队假设TCE可能是帕金森病的一个隐形病因,发现TCE与帕金森病的患病风险增加500%有关。
对小鼠和大鼠的研究表明,TCE很容易进入大脑和身体组织,且高剂量的 TCE 会损害细胞中产生能量的部位,即线粒体。在动物研究中,TCE会导致产生多巴胺的神经细胞选择性损伤,这正是人类患上帕金森病的一个标志。
阅读连接:
J Parkinsons Dis:常见干洗剂被发现与帕金森病有关
本期编辑:brainnews编辑部
如有遗漏和错误,请留言指出,非常感谢!
编辑部投稿邮箱:brainnews@vip.163.com
编辑部微信:brainnews_12 或 brainnews_01
